中华人民共和国国家标准
动力机器基础设计标准
Standard for design of dynamic machine foundation
GB 50040-2020
主编部门:中华人民共和国住房和城乡建设部
批准部门:中华人民共和国住房和城乡建设部
施行日期:2 0 2 1 年 3 月 1 日
中华人民共和国住房和城乡建设部公告
2020年 第156号
住房和城乡建设部关于发布国家标准《动力机器基础设计标准》的公告
现批准《动力机器基础设计标准》为国家标准,编号为GB 50040-2020,自2021年3月1日起实施。其中,第3.1.10、3.3.1、3.3.6条为强制性条文,必须严格执行。原国家标准《动力机器基础设计规范》GB 50040-96同时废止。
本标准在住房和城乡建设部门户网站(www.mohurd.gov.cn)公开,并由住房和城乡建设部标准定额研究所组织中国计划出版社有限公司出版发行。
中华人民共和国住房和城乡建设部
2020年6月9日
前言
根据住房和城乡建设部《2005年工程建设标准规范制订、修订计划(第二批)的通知》(建标[2005]124号)及《关于调整国家标准<动力机器基础设计规范>主编单位的函》(建标标便[2013]66号)的要求,标准编制组经广泛调查研究,认真总结实践经验,参考有关国际标准和国外先进标准,并在广泛征求意见的基础上,修订本标准。
本标准的主要技术内容是:总则、术语和符号、基本规定、旋转式机器基础、往复式机器基础、冲击式机器基础、压力机基础、破碎机和磨机基础、振动试验台基础、金属切削机床基础等。
本标准修订的主要技术内容是:
1.扩展了标准的适用范围,增加了相关动力机器基础设计的强制性规定;
2.对动力机器基础设计的基础资料和地基动力特性参数进行了补充和明确,对不利场地条件动力机器基础的设计提出更严格的要求;
3.完善了旋转式和往复式机器基础设计的条文,对振动计算和构造规定进行了修订和增补;
4.扩大了冲击式机器和压力机基础的适用范围,增补了相关的设计方法;
5.增加了液压和电动振动台基础的设计内容;
6.修订了部分动力机器的公称压力等表征振动荷载特性的适用范围;
7.修订了各类动力机器基础相关振动计算、构造要求等规定,删除了部分不适宜的设计规定。
本标准中以黑体字标志的条文为强制性条文,必须严格执行。
本标准由住房和城乡建设部负责管理和对强制性条文的解释,由中国机械工业集团有限公司和中国中元国际工程有限公司负责具体技术内容的解释,并负责日常管理。执行过程中如有意见或建议,请寄送中国机械工业集团有限公司(地址:北京市海淀区丹棱街3号,邮编:100080)、中国中元国际工程有限公司(地址:北京市海淀区西三环北路5号,邮编:100089)。
本标准主编单位:中国机械工业集团有限公司
中国中元国际工程有限公司
本标准参编单位:中国汽车工业工程有限公司
隔而固(青岛)振动控制有限公司
华北电力设计院有限公司
中国寰球工程有限公司北京分公司
北方工程设计研究院有限公司
机械工业勘察设计研究院有限公司
机械工业第六设计研究院有限公司
本标准主要起草人员:徐建 张同亿 万叶青 尹学军 周建军 余东航 黎益仁 杨文君 郑建国 张炜 王建刚 杨俭 高星亮 胡明祎 邵晓岩 黄伟 曹雪生 王伟强 刘鑫 许岩 王建宁
本标准主要审查人员:杨永斌 张建民 张洪波 任书考 苏经宇 黄世敏 邹宏 王永国 李兴利
1 总则
1.0.1 为了确保动力机器基础设计的技术性能和工程质量,做到技术先进、经济合理、安全适用和满足环境要求,制订本标准。
1.0.2 本标准适用于旋转式机器、往复式机器、冲击式机器、压力机、破碎机和磨机、振动试验台、金属切削机床等动力机器基础的非隔振设计。
1.0.3 动力机器基础设计除应符合本标准外,尚应符合国家现行有关标准的规定。
2 术语和符号
2.1 术语
2.1.1 基组 machine-foundation system
动力机器基础和基础上的机器、附属设备、填土的总称。
2.1.2 当量荷载 equivalent load
与作用于原振动系统的动荷载相当的静荷载。
2.1.3 框架式基础 frame foundation
由顶层梁板、柱和底板连接而构成的基础。
2.1.4 墙式基础 wall foundation
由顶板、纵横墙和底板连接而构成的基础。
2.1.5 地基刚度 foundation stiffness
地基抵抗变形的能力,其值为施加于地基上的力(力矩)与其变形(角变形)之比。
2.1.6 旋转式机器 rotary machine
具有转子等旋转部件,通过匀速转动而工作的机械装置。
2.1.7 往复式机器 reciprocating machine
由曲柄(曲轴)与连杆以及做往复运动的活塞组成曲柄连杆机构的一种机械装置。
2.1.8 冲击式机器 impact machine
采用一定质量的冲锤,在一定的高度内周期性地做自由落体运动,产生具有较明显的脉冲函数特征振动荷载的机械装置。
2.1.9 振动试验台 vibration test stand
模拟真实振动环境效应,以检验各种工业产品和工程设施力学性能的标准试验设备。
2.1.10 金属切削机床 metal cutting machine tool
用切削、特种加工等方法加工金属工件,使之获得所要求的几何形状、尺寸精度和表面质量的机器。
2.2 符号
2.2.1 作用和作用响应:
Fvz——机器的竖向振动荷载;
Fvx、Fvy——机器的水平向振动荷载;
Mф一一基组沿x轴水平、绕y轴回转的x-ф向耦合振动中机器的回转扰力矩;
Mθ——基组沿y轴水平、绕x轴回转的y-θ向耦合振动中机器的回转扰力矩;
Mψ——机器的扭转振动扰力矩;
uz——基组重心处或基础控制点的竖向振动位移;
ux、uy——基组重心处或基础控制点的水平向振动位移;
uф——基组沿x轴水平、绕y轴回转的x-ф向耦合振动回转振动角位移;
uθ一—基组沿y轴水平、绕x轴回转的y-θ向耦合振动回转振动角位移;
uψ——基组的扭转振动角位移;
uzz——基组沿z轴竖向振动产生的竖向振动位移;
uzф——基组沿x轴水平、绕y轴回转的x-ф向耦合振动产生的竖向振动位移;
uxф——基组沿x轴水平、绕y轴回转的x-ф向耦合振动产生的水平向振动位移;
uzθ——基组沿y轴水平、绕x轴回转的y-θ向耦合振动产生的竖向振动位移;
uyθ——基组沿y轴水平、绕x轴回转的y-θ向耦合振动产生的水平向振动位移;
uxψ、uyψ——基组扭转振动产生的水平向振动位移;
ω——机器扰力的圆频率;
ωnz——基组竖向固有圆频率;
ωnx、ωny——基组水平向固有圆频率;
ωnф——基组绕y轴回转固有圆频率;
ωnθ——基组绕x轴回转固有圆频率;
ωnψ一—基组扭转固有圆频率;
ωnф1、ωnф2——基组沿x轴水平、绕y轴回转的x-ф向耦合振动第一、第二振型固有圆频率;
ωnθ1、ωnθ2——基组沿y轴水平、绕x轴回转的y-θ向耦合振动第一、第二振型固有圆频率;
a一—基础振动加速度;
υ——基础振动速度。
2.2.2 计算指标:
Cz一—天然地基抗压刚度系数;
Cф、Cθ一—天然地基抗弯刚度系数;
Cx、Cy一—天然地基抗剪刚度系数;
Cψ——天然地基抗扭刚度系数;
Cpz一一桩尖土的当量抗压刚度系数;
Cpτ——桩周各层土的当量抗剪刚度系数;
Kz——天然地基抗压刚度;
Kф、Kθ——天然地基抗弯刚度;
Kx、Ky——天然地基抗剪刚度;
Kψ一一天然地基抗扭刚度;
Kpz一一桩基抗压刚度;
Kpф、Kpθ——桩基抗弯刚度;
Kpx、Kpy—一桩基抗剪刚度;
Kpψ——桩基抗扭刚度;
ζz——天然地基的竖向阻尼比;
ζh1、ζh2——天然地基水平回转耦合振动第一、第二振型阻尼比;
ζψ——天然地基扭转向阻尼比;
ζpz——桩基的竖向阻尼比;
ζph1、ζph2——桩基水平回转耦合振动第一、第二振型阻尼比;
ζpψ——桩基的扭转向阻尼比;
[u]一—基础的容许振动位移;
[υ]——基础的容许振动速度;
[a]——基础的容许振动加速度;
m——基组的质量。
2.2.3 几何参数:
A一一基础底面积;
Ap——桩的截面积;
Ix、Iy——基础底面通过其形心轴的惯性矩;
Jф、Jθ——基组通过其重心轴的转动惯量;
Iz——基础底面对通过底面形心的极惯性矩;
Jψ——基组通过其重心轴的极转动惯量;
h1——基组重心至基础顶面的距离;
h2——基组重心至基础底面的距离。
2.2.4 计算系数及其他:
αv——地基承载力动力折减系数;
αz——基础埋深作用对地基抗压刚度的提高系数;
α——基础埋深作用对地基抗剪、抗弯、抗扭刚度的提高系数;
βv——地基土的动沉陷影响系数;
βz——基础埋深作用对竖向阻尼比的提高系数;
β——基础埋深作用对水平回转耦合振动和扭转振动阻尼比的提高系数;
δd——基础埋深比。
3 基本规定
3.1 一般规定
3.1.1 动力机器地基基础的设计应满足下列性能要求:
1 在静力荷载作用下,应满足地基和基础承载能力及变形要求;建造在斜坡上或边坡附近的动力基础,尚应满足稳定性要求;
2 在地震作用下,应满足地基和基础抗震承载能力要求、基础抗震稳定性要求;
3 在振动荷载作用下,应满足地基和基础承载能力的要求、基础容许振动的要求;周边环境对振动控制有要求时,尚应满足环境振动、人员舒适度和设备正常工作的要求。
3.1.2 动力机器基础的形式,应根据动力机器类型和型号、工程地质条件、振动响应控制要求等综合确定。
3.1.3 动力机器基础设计时,应避免基础产生过大或不均匀沉降。
3.1.4 重要或对沉降有严格要求的机器,在基础上应设置永久的沉降观测点;在基础施工、机器安装及运行过程中应定期观测和记录。
3.1.5 动力机器基础不宜采用液化土、软土地基作为天然地基持力层;局部存在液化土、软土地基时,宜进行地基处理;大型和重要动力机器基础应进行地基处理或采用桩基础。
3.1.6 动力机器基础设置在整体性较好的岩石上且采用锚桩(杆)基础时,应按本标准附录A的规定设计。
3.1.7 动力机器基础与建筑物的基础、上部结构以及混凝土地面宜分开。
3.1.8 当置于天然地基的动力机器基础与毗邻建筑物基础的埋深不在同一标高时,基底标高差异部分应回填夯实。
3.1.9 当管道与机器连接而产生较大振动时,连接处应采用减振或隔振措施。
3.1.10 当动力机器基础的振动不满足人员健康、生产过程、仪器设备正常工作的容许振动标准及影响建筑物的长期使用寿命时,应采用隔振措施。
3.2 材料及构造规定
3.2.1 动力机器基础宜采用整体式混凝土结构,混凝土强度等级不宜低于C30,当大块式或墙式基础不直接承受冲击荷载或按构造要求设计时,混凝土的强度等级可采用C25。
3.2.2 动力机器基础的受力钢筋应采用HRB400、HRB500钢筋,其他部位可采用HRBF400、HRBF500钢筋,钢筋的连接不宜采用焊接接头。
3.2.3 基组的总重心与基础底面形心宜位于同一竖直线上。当不在同一竖直线上时,两者之间的偏心距和平行偏心方向基底边长的比值,不应大于5%;当该比值大于5%时,应计入附加力矩作用的影响。
3.2.4 动力机器底座边缘至基础边缘的距离不宜小于100mm;除锻锤基础以外,在机器底座下应预留二次灌浆层,其厚度不宜小于50mm;二次灌浆层应在设备安装初调后,采用高一个等级的材料填充密实。
3.2.5 动力机器基础地脚螺栓的设置应符合下列规定:
1 Ⅰ型和Ⅱ型地脚螺栓的锚固长度不应小于25倍螺栓直径,Ⅲ型地脚螺栓的锚固长度不应小于20倍螺栓直径;
2 地脚螺栓轴线距基础边缘的距离不应小于5倍螺栓直径,且不应小于150mm,预留孔边缘距基础边缘的距离不应小于100mm;
3 预埋地脚螺栓底面下混凝土的厚度不应小于50mm,当设置预留孔时,孔底面下混凝土的厚度不应小于100mm。
3.3 地基和基础计算规定
3.3.1 动力机器基础底面的平均静压力应符合下式要求:
p≤αvfa (3.3.1)
式中:p——对应于作用的标准组合时,基础底面的平均静压力值(kPa);
αv——地基承载力的动力折减系数;
fa——修正后的地基承载力特征值(kPa)。
3.3.2 动力机器基础底面的平均静压力应按下列荷载计算:
1 基础自重和基础上回填土重;
2 机器自重和传至基础上的其他荷载。
3.3.3 地基承载力的动力折减系数应按下列规定确定:
1 旋转式机器基础可取0.8。
2 锻锤基础宜按下式计算:

式中:a——基础的振动加速度(m/s2);
βv—一地基土的动沉陷影响系数,按第3.3.4条的规定确定;
g——重力加速度,一般取9.8m/s2。
3 其他机器基础可取1.0。
3.3.4 地基土的动沉陷影响系数βv值应按下列规定确定:
1 当为天然地基时,宜按表3.3.4的规定确定。


2 对桩基础,宜按桩端持力层地基土类别选用。
3.3.5 动力机器基础的地基土类别宜按表3.3.5确定。

3.3.6 动力机器基础的振动响应,应符合下列规定:

式中:u——基础上控制点的振动位移;
v——基础上控制点的振动速度;
a——基础上控制点的振动加速度;
[u]——基础的容许振动位移;
[v]——基础的容许振动速度;
[a]——基础的容许振动加速度。
3.3.7 动力机器的振动荷载应符合现行国家标准《建筑振动荷载标准》GB/T 51228的有关规定。
3.3.8 动力机器的容许振动标准应符合现行国家标准《建筑工程容许振动标准》GB 50868的有关规定。
3.4 地基动力特性参数
Ⅰ 天然地基
3.4.1 天然地基的动力特性参数宜由现场测试确定,测试方法应符合现行国家标准《地基动力特性测试规范》GB/T 50269的有关规定;当无测试条件时,宜按本标准第3.4.2条~第3.4.11条的规定确定。
3.4.2 天然地基的抗压刚度系数应按下列规定确定:
1 当基础底面积不小于20m2时,宜按表3.4.2采用。

2 当基础底面积小于20m2时,抗压刚度系数宜采用表3.4.2中的数值乘以基础底面积修正系数,基础底面积修正系数可按下式计算:

式中:βr——基础底面积修正系数;
A——基础底面积(m2)。
3.4.3 当基础底部的地基土由不同土层组成时,其影响深度应按下列规定确定:
1 方形基础宜按下式计算:
hd=2b (3.4.3-1)
式中:hd——影响深度(m);
b——方形基础的边长(m)。
2 其他形状的基础宜按下式计算:
hd=2√A (3.4.3-2)
3.4.4 当基础对地基土影响深度范围内包含不同土层时(图3.4.4),其抗压刚度系数宜按下式计算:

式中:Cz——地基土抗压刚度系数(kN/m3);
Czi——第i层土的抗压刚度系数(kN/m3),可按本标准第3.4.2条的规定确定;
hi——从基础底至i层土底面的深度(m);
hi-1——从基础底至i-1层土底面的深度(m)。

3.4.5 天然地基的抗剪、抗弯、抗扭刚度系数宜按下列公式计算:

式中:Cx、Cy一一天然地基沿x轴、y轴的抗剪刚度系数(kN/m3);
Cθ、Cф一一天然地基绕x轴、y轴的抗弯刚度系数(kN/m3);
Cψ一一天然地基绕z轴的抗扭刚度系数(kN/m3)。
3.4.6 天然地基的抗压、抗剪、抗弯、抗扭刚度应按下列公式计算:

式中:Kz——天然地基沿z轴的抗压刚度(kN/m);
Kx、Ky——天然地基沿x轴、y轴的抗剪刚度(kN/m);
Kθ、Kф——天然地基绕x轴、y轴的抗弯刚度(kN·m);
Kψ——天然地基绕z轴的抗扭刚度(kN·m);
A—一基础底面积(m2);
Ix、Iy——天然地基基础底面对通过底面形心的x轴、y轴的惯性矩(m4);
Iz—一天然地基基础底面对通过底面形心的极惯性矩(m4)。
3.4.7 当埋置基础的地基承载力特征值小于350kPa,且基础四周回填土与地基土的密度比不小于0.85时,其抗压、抗剪、抗弯、抗扭刚度宜乘以提高系数,提高系数宜按下列公式计算:
![]()

式中:αz——基础埋深作用对地基抗压刚度的提高系数;
α——基础埋深作用对地基抗剪、抗弯、抗扭刚度的提高系数;
δd——基础埋深比,当δd大于0.6时,取0.6;
ht——基础埋置深度(m)。
3.4.8 当基础与刚性地面相连时,地基抗弯、抗剪、抗扭刚度宜乘以刚性地面提高系数,提高系数可取1.0~1.4,软弱地基土的提高系数宜取上限值。
3.4.9 天然地基的阻尼比应按下列规定计算:
1 竖向阻尼比宜按下列公式计算:
(1)对于黏性土:

(2)对于粉土、砂土:

式中:ζz——天然地基竖向阻尼比;
m——基组质量比;
m——基组的质量(t);
ρ——地基土的密度(t/m3)。
2 水平回转向、扭转向阻尼比宜按下列公式计算:

式中:ζh1——天然地基水平回转耦合振动第一振型阻尼比;
ζh2——天然地基水平回转耦合振动第二振型阻尼比;
ζψ——天然地基扭转向阻尼比。
3.4.10 埋置基础的天然地基阻尼比,宜取明置基础的阻尼比乘以基础埋深作用对阻尼比的提高系数,阻尼比提高系数宜按下列公式计算:

式中:βz——基础埋深作用对竖向阻尼比的提高系数;
β——基础埋深作用对水平回转向或扭转向阻尼比的提高系数。
3.4.11 采用本标准第3.4.2条~第3.4.10条确定的天然地基动力特性参数计算天然地基大块式基础的振动位移时,计算的竖向振动位移值应乘以折减系数0.7,水平向振动位移值应乘以折减系数0.85,冲击式机器和压力机基础可不折减。
Ⅱ 桩基
3.4.12 桩基的动力特性参数取值应符合下列规定:
1 预制桩或沉管灌注桩的动力参数宜由现场测试确定;当无测试条件时,宜按本标准第3.4.13条~第3.4.22条的规定确定;
2 钻孔灌注桩或其他桩型的动力参数宜由现场测试确定;
3 桩基动力参数的测试方法应按现行国家标准《地基动力特性测试规范》GB/T 50269的规定确定。
3.4.13 桩基的抗压刚度应按下列公式计算:

式中:Kpz——桩基抗压刚度(kN/m);
np——桩数;
kpz——单桩的抗压刚度(kN/m);
Cpτi——桩周第i层土的当量抗剪刚度系数(kN/m3);
Apτi一一第i层土的桩周表面积(m2);
Cpz—一桩端土的当量抗压刚度系数(kN/m3);
Ap——桩的截面积(m2)。
3.4.14 当桩的间距为桩的直径或截面边长的4倍~5倍时,桩周各土层的当量抗剪刚度系数Cpτ值宜按表3.4.14采用。

3.4.15 当桩的间距为桩的直径或截面边长的4倍~5倍时,桩端土层的当量抗压刚度系数Cpz值宜按表3.4.15采用。


3.4.16 桩基的抗弯刚度应按下列公式计算:

式中:Kpθ、Kpф一—桩基绕x轴、y轴的抗弯刚度(kN·m);
kpz—一单桩抗压刚度(kN/m);
rxi、ryi——第i根桩的轴线至通过基础底面形心的回转轴x轴、y轴的距离(m)。
3.4.17 桩基的抗剪和抗扭刚度应按下列规定确定:
1 桩基的抗剪刚度和抗扭刚度宜按下列公式计算:

式中:Kpx、Kpy——桩基沿x轴、y轴抗剪刚度(kN/m);
Kpψ——桩基抗扭刚度(kN·m)。
2 当计入基础埋深和刚性地面作用时,桩基的抗剪刚度宜按下列公式计算:

式中:Kpx、Kpy——基础埋深和刚性地面对桩基刚度提高作用后的桩基沿x轴、y轴抗剪刚度(kN/m);
α1——刚性地面提高系数,可按本标准第3.4.8条规定确定。
3 当计入基础埋深和刚性地面作用时,桩基的抗扭刚度宜按下式计算:
![]()
式中:Kpψ——基础埋深和刚性地面对桩基刚度提高作用后的桩基抗扭刚度(kN·m)。
4 当采用端承桩或桩上部土层的地基承载力特征值不小于200kPa时,桩基抗剪刚度和抗扭刚度不应大于相应的天然地基抗剪刚度和抗扭刚度。
3.4.18 斜桩的抗剪刚度应按下列规定确定:
1 当桩的斜度大于1:6,其间距为桩的直径或截面边长的4倍~5倍时,斜桩的当量抗剪刚度宜取相应的天然地基抗剪刚度的1.6倍。
2 当计入基础埋深和刚性地面作用时,斜桩桩基的抗剪刚度宜按下列公式计算:

3.4.19 计算桩基的固有频率和振动位移时,其竖向和水平回转向总质量及基组的总转动惯量应按下列公式计算:

式中:mpz、mpx、mpy——桩基上基础沿z轴竖向、沿x轴和y轴水平回转振动质量(t);
m——天然地基基组的质量(t);
m0——竖向振动时桩和桩间土参加振动的当量质量(t);
lt—一桩的折算长度(m);
b——基础底面的宽度(m);
d--一基础底面的长度(m);
ρp——桩和桩间土的混合密度(t/m2);
Jpθ、Jpф、Jpψ——桩基上基组对x轴、y轴、z轴的转动惯量(t·m2);
Jθ、Jф、Jψ——天然地基上基组对x轴、y轴、z轴的转动惯量(t·m2)。
3.4.20 桩的折算长度宜按表3.4.20采用。

3.4.21 桩基的阻尼比应按下列规定计算:
1 桩基竖向阻尼比宜按下列公式计算:
1)桩基承台底为黏性土时:

2)桩基承台底为砂土、粉土时:

3)采用端承桩时:

4)当桩基承台底与地基土脱空时,其竖向阻尼比可取端承桩的竖向阻尼比。
2 桩基水平回转向、扭转向阻尼比宜按下列公式计算:

式中:ζpz——桩基竖向阻尼比;
ζph1、ζph2——桩基水平回转耦合振动第一、二振型阻尼比;
ζpψ——桩基扭转向阻尼比。
3.4.22 计算桩基阻尼比时,宜计入桩基承台埋深对阻尼比的提高作用,桩基竖向、水平回转向以及扭转向阻尼比提高系数,宜按下列规定计算:
1 对于摩擦桩:

2 对于端承桩:

式中:βz——桩基承台埋深对竖向阻尼比的提高系数;
β——桩基承台埋深对水平回转向或扭转向阻尼比的提高系数。
4 旋转式机器基础
4.1 汽轮发电机组基础
Ⅰ 一般规定
4.1.1 汽轮发电机组基础宜采用现浇钢筋混凝土框架结构。
4.1.2 汽轮发电机组的框架式基础宜采用多自由度空间力学模型分析,并应进行多方案优化设计,合理地确定框架的布置和构件尺寸。结构选型应符合下列原则:
1 基础顶板应具有满足基础的振动特性及静变形要求的质量和刚度;顶板各横梁的静位移宜接近,顶板的外形和受力应简单,宜避免产生偏心荷载;
2 在满足强度、稳定性和静位移要求的条件下,宜适当减小柱的刚度,但其长细比不宜大于14;
3 基础底板刚度应根据地基刚度综合分析确定,避免基础出现不均匀沉降。
4.1.3 对工作转速为3000r/min且功率不大于125MW的汽轮发电机组,当基础为由横向框架与纵梁构成的空间框架,且同时满足下列条件时,可不进行动力计算:
1 中间框架、纵梁:
Gi≥6Ggi (4.1.3-1)
2 边框架:
Gi≥10Ggi (4.1.3-2)
式中:Gi——集中到梁中或柱顶的总重力(kN);
Ggi——作用在基础第i点的机器转子重力(kN)。
Ⅱ 振动计算
4.1.4 框架式基础的振动位移,可按本标准附录B的规定进行计算,并宜符合下列规定:
1 一般情况下,可只计算扰力作用点的振动响应;
2 工作转速时的计算响应宜取一定范围内的最大响应,其范围值宜根据计算模型确定。
4.1.5 当基础为由横向框架与纵梁构成的空间框架时,可简化为横向平面框架,宜按本标准附录B中双自由度体系的方法计算。
4.1.6 当框架式基础按空间多自由度体系进行振动计算时,对于机器工作转速小于3000r/min的基础,地基宜按弹性计算;对于汽轮发电机组工作转速不小于3000r/min的基础,地基可按刚性计算。
4.1.7 计算振动位移时,任意转速的扰力可按下式计算:

式中:F0i——第i点任意转速的扰力(kN);
Fgi——第i点工作转速时的扰力(kN);
n0——任意转速(r/min);
n——工作转速(r/min)。
4.1.8 当有多个扰力作用时,质点的振动位移可按下式计算:

式中:ui——质点i的振动位移(m);
uik一一第k个扰力对质点i产生的振动位移(m)。
Ⅲ 承载力验算
4.1.9 基础承载力计算时,荷载分项系数应按表4.1.9的规定取值。


4.1.10 计算基础动内力时的扰力值,可取计算振动位移时所取扰力的4倍,并应考虑材料疲劳的影响。
4.1.11 当基础为横向框架与纵梁构成的空间框架时,构件动内力可采用当量荷载进行简化计算;竖向当量荷载可简化为集中荷载,水平向当量荷载可简化为作用在纵、横梁轴线上的集中荷载。
4.1.12 当动内力采用当量荷载计算时,应按基础的基本振型和高振型分别进行计算,控制值应取较大值。
4.1.13 当动内力采用基础的基本振型计算时,当量荷载可按下列规定确定:
1 横向框架上第i点的竖向当量荷载计算值不应小于转子重力荷载的4倍,竖向当量荷载可按下式计算:
![]()
式中:Fzi——横向框架上第i点的竖向当量荷载(kN);
Fgi——横向框架上第i点的机器扰力(kN);
ωn1——横向框架竖向的第一振型固有圆频率(rad/s),可按本标准附录B的规定计算;
ηmax——最大动力系数,可取8。
2 水平向总当量荷载计算值不应小于转子总重力荷载,总当量荷载应按刚度分配到各框架,水平向总当量荷载可按下列公式计算:

式中:Fx——横向框架的水平向总当量荷载(kN);
Fy——纵向框架的水平向总当量荷载(kN);
Ggi——基础顶板上第i点的机器转子重力(kN);
Gt——基础顶板全部永久荷载(kN),可取顶板自重、设备重和柱子重的一半;
Kxj——基础第j榀横向框架的水平刚度(kN/m);
Kyj——基础第j榀纵向框架的水平刚度(kN/m);
ξx——横向计算系数(m);
ξy——纵向计算系数(m)。
3 基础的竖向和水平向当量荷载(图4.1.13-1、图4.1.13-2)可按下列公式计算:




式中:Fxj——横向框架上第j点的横向x当量荷载(kN);
Kxj——第j点的横向框架刚度(kN/m);
Fyj—一纵向框架上第j点的纵向y当量荷载(kN);
Kyj———第j点的纵向框架刚度(kN/m)。
4.1.14 横向、纵向计算系数可按表4.1.14采用。

4.1.15 当基础的动内力采用高阶振型计算时,顶板横梁与纵梁的当量荷载(图4.1.15-1、图4.1.15-2)宜按表4.1.15采用。



4.1.16 当动内力按空间多自由度体系计算时,应取机器工作转速的0.75倍~1.25倍范围内的最大动内力值作为控制计算值。
4.1.17 在多个扰力作用下,质点的动内力可按下式计算:

式中:Si——质点i的动内力(kN);
Sik——第k个扰力对i点产生的动内力(kN)。
4.1.18 当工作转速不小于3000r/min的汽轮机组不进行动力计算时,竖向、水平向当量荷载可按表4.1.18采用。

4.1.19 基础顶板的纵、横梁应计入由于构件内外侧温差产生的应力,温差可取15℃~20℃;当基础纵向框架长度不小于40m时,应计算纵向框架的温度应力;顶板与柱脚的计算温差,可取20℃。
4.1.20 顶板承载力计算时,应计入设备安装时的活荷载,活荷载应根据工艺要求确定;当无资料时,可按表4.1.20采用。

4.1.21 短路力矩的动力系数可取2.0。
4.1.22 基础承载力验算的荷载组合应符合下列规定:
1 基本组合可取永久荷载与振动荷载或当量荷载组合,其中振动荷载只计入单向作用,组合系数可取1.0;
2 偶然组合可取永久荷载、振动荷载及短路力矩组合,振动荷载组合系数可取0.25,短路力矩的组合系数可取1.0;
3 地震作用组合可取永久荷载、振动荷载及地震作用组合,振动荷载组合系数可取0.25,地震作用组合系数可取1.0;
4 设计值应取其荷载组合的较大值。
Ⅳ 构造要求
4.1.23 框架式基础的顶部四周应留有变形缝与其他结构隔开,中间平台宜与基础主体结构脱开;当不能脱开时,在两者连接处宜采取隔振措施。
4.1.24 框架式基础的底板宜采用井式、梁板式或平板式;平板式基础底板的厚度、井式或梁板式基础的梁高,可根据地基条件取相邻柱最大净距的1/5~1/3.5,当地基条件较好时自:取小值,反之宜取大值。
4.1.25 对中、高压缩性地基土,应采取加强地基和基础的刚度、减少基础不均匀沉降等措施。
4.1.26 基础顶板的挑台应为实腹式,悬出长度不宜大于1.5m,悬臂支座处的截面高度不应小于悬出长度的0.75倍。
4.1.27 基础运转顶板上和柱±0.00m以上适当位置上,应设置永久沉降观测点。
4.1.28 当底板设置在碎石土及风化基岩地基上时,应计入施工时温度作用的影响或在底板下设置隔离层。
4.1.29 基础的配筋应符合下列规定:
1 汽轮发电机组基础底板各侧面均应设置钢筋网;底板板顶和板底钢筋的配筋率不宜小于0.1%;底板侧面四周钢筋网钢筋的直径不宜小于16mm,间距不宜大于250mm;当底板厚度大于2m时,宜在底板板厚中间部位设置直径不小于12mm、间距不大于300mm的双向钢筋网。
2 汽轮发电机组基础的柱配筋应按计算确定,柱全部纵向钢筋的配筋率不宜小于0.6%,钢筋直径不宜小于25mm;柱宜采用封闭箍筋,箍筋直径不宜小于12mm,加密区箍筋间距不宜大于200mm,非加密区箍筋间距不宜大于300mm,肢距不宜大于300mm。
3 汽轮发电机组基础中间平台采用现浇钢筋混凝土结构时,梁和板的构造应符合现行国家标准《混凝土结构设计规范》GB 50010的有关规定。
4 汽轮发电机组基础运转层顶板配筋应按计算确定,顶板顶面、底面钢筋配筋率不宜小于0.15%;基础顶板应计入构件两侧温差产生的应力,梁两侧应分别配置温度影响的钢筋,高、中压缸侧的纵、横梁侧面配筋率不宜小于0.15%,其余梁每侧配筋率不宜小于0.1%。
5 汽轮发电机组基础钢筋的连接应符合现行国家标准《混凝土结构设计规范》GB 50010的有关规定,采用机械连接时应满足抗疲劳性能的要求。
4.2 旋转式压缩机基础
Ⅰ 一般规定
4.2.1 旋转式压缩机基础的设计,应根据机器的布置和动力特性、工程地质条件、生产和工艺对机器基础的技术要求等因素,合理选择基础形式及尺寸。
4.2.2 旋转式压缩机基础宜设置在均匀的中、低压缩性的地基土层上,当存在软弱下卧层、软土地基或其他不良地质条件时,应采取有效的地基处理措施或采用桩基础。
4.2.3 旋转式压缩机基础底面与相邻的建(构)筑物基础底面宜放置在同一标高上且不应相连,压缩机基础与相邻的操作平台应脱开。
4.2.4 旋转式压缩机基础宜采用钢筋混凝土空间框架结构;当采用大块式或墙式基础时,动力计算和构造要求可按本标准第5章的规定采用。
4.2.5 旋转式压缩机框架式基础的计算,应符合下列规定:
1 当进行承载力验算时,应包括框架和地基承载力的验算;
2 当进行振动验算时,基础控制点的振动值不应大于容许振动值;
3 当进行沉降验算时,基础的沉降和倾斜不应大于容许值;
4 当进行偏心验算时,基组的总重心与基础底面形心在横、纵两个方向的偏心距均不应超过对应底板边长的3%。
4.2.6 当旋转式压缩机组的总扰力小于20kN、其基础的尺寸符合本标准第4.2.12条的规定且设备及生产对基础振动限值无特殊要求时,基础可不进行动力计算。
Ⅱ 振动计算
4.2.7 框架式基础的动力计算宜采用空间多自由度分析模型,并应在工作转速的0.75倍~1.25倍对应的频率范围进行扫频计算;计算时可不计入地基的弹性作用,混凝土结构的阻尼比可取0.0625,动弹性模量可取静弹性模量值。
4.2.8 当框架式基础同时承受多组扰力作用时,基础控制点的振动速度可按下式计算:

式中:v——基础振动控制点的振动速度(mm/s);
vi——第i组扰力作用下基础振动控制点的振动速度(mm/s)。
Ⅲ 承载力验算
4.2.9 框架式基础承载力计算时,应包括下列荷载:
1 永久荷载,包括压缩机基础自重、底板上填土自重、支承在顶板上的操作平台自重、安装在基础上的机组、辅助设备及管道自重;
2 可变荷载,包括操作活荷载、安装活荷载、管道推力、温度作用、凝汽器真空吸力等;
3 偶然荷载,包括同步电机的短路力矩;
4 当量静力荷载;
5 地震作用。
4.2.10 荷载标准值及分项系数应按下列规定采用:
1 永久荷载应按实际情况计算。安装在基础上的机组、辅助设备及管道自重的荷载分项系数应取1.5,其他永久荷载的荷载分项系数应取1.3。
2 运行可变荷载宜取4kN/m2,荷载分项系数应取1.5;安装活荷载宜取10kN/m2,荷载分项系数应取1.4。
3 凝汽器真空吸力应由机器制造厂提供,荷载分项系数应取1.5;当凝汽器与汽轮机为刚性连接时,真空吸力应取零;当机器制造厂无法提供时,真空吸力可按下式计算:
Fa=100At (4.2.10-1)
式中:Fa——凝汽器真空吸力标准值(kN);
At——凝汽器与汽轮机接口处的横截面面积(m2)。
4 同步电机的短路力矩及短路力(图4.2.10)应由机器制造厂提供,荷载分项系数应取1.0;当机器制造厂无法提供时,可按下列公式计算:

式中:M0——同步电机的短路力矩标准值(kN·m);
P——电机的功率(kW);
n——电机的工作转速(r/min);
F0——作用在基础上的短路力标准值(kN);
l——电机短路力作用点之间的距离(m);
μ——动力系数,可取2.0。

5 框架式基础承载力计算时,可将机组振动效应简化为当量静力荷载。当量静力荷载应由机器制造厂提供,荷载分项系数应取1.5;当机器制造厂无法提供时,应按下列规定确定:
1)竖向当量静力荷载,应按下式计算:
![]()
式中:Fz——竖向当量静力荷载标准值(kN);
Gg——机器转子自重(kN),当按式(4.2.10-4)计算的竖向当量静力荷载标准值大于机器自重时,应取机器自重。
2)横向、纵向的水平当量静力荷载标准值Fx、Fy可分别取竖向当量静力荷载标准值Fz的1/4、1/8。
3)当基础构件不承受机器转子自重时,其竖向和横向当量静力荷载标准值可取构件自重的1/2,纵向当量静力荷载标准值可取构件自重的1/4。
4)当量静力荷载按正、反方向的集中荷载作用在框架式基础的柱、横梁、纵梁轴线上时,在基础上的分布可取与机器转子自重分布成正比。
4.2.11 荷载的组合应符合下列规定:
1 基本组合宜包括永久荷载、安装活荷载、其他可变荷载、当量静力荷载;安装活荷载与其他可变荷载及当量静力荷载不应同时计入;各方向当量静力荷载可只计入单向作用,其组合值系数可取1.0。
2 偶然组合宜包括永久荷载、可变荷载、当量静力荷载、偶然荷载,当量静力荷载的组合值系数可取0.25,短路力矩的组合值系数可取1.0。
3 地震作用组合宜包括永久荷载、可变荷载、当量静力荷载、地震作用,当量静力荷载的组合值系数可取0.25,地震作用的组合值系数可取1.0。
Ⅳ 构造要求
4.2.12 框架式基础的尺寸应符合下列规定:
1 基础底板宜设计成矩形平板,底板厚度可取底板长度的1/12~1/10,但不应小于柱截面高度和基础顶板厚度的较大值;
2 柱截面宜设计成方形或矩形,截面最小宽度不宜小于柱净高的1/10,并不得小于450mm;
3 基础顶板厚度不宜小于其净跨度的1/5~1/4,且不应小于800mm。
4.2.13 框架式基础的配筋应符合下列规定:
1 底板的板顶和板底均应配置钢筋网,钢筋直径不宜小于16mm,钢筋间距宜为150mm~200mm。
2 柱纵向钢筋应按计算确定,并应沿截面对称布置,钢筋直径宜为18mm~25mm,间距不宜大于200mm,总配筋率宜为1.0%~1.4%;箍筋应采用复合箍筋,直径宜为10mm~12mm,间距不宜大于200mm。
3 顶板的板顶和板底均应配置钢筋网,钢筋直径不宜小于16mm,间距宜为150mm~200mm。
4 顶板的梁区域受力钢筋应计算确定,并应在梁截面上、下对称配置,单侧配筋率宜为0.4%~1.0%;箍筋直径宜为10mm~12mm,间距不宜大于200mm。
5 沿底板、顶板侧边应配置构造钢筋,钢筋直径不宜小于16mm,竖向间距宜为200mm~250mm。
6 当在顶板上开孔或开沟槽,孔或沟槽的直径或边长大于300mm时,应沿孔或沟槽周边配置直径不小于16mm、竖向间距为200mm~250mm的加强钢筋。
7 顶板上螺栓孔或螺栓套管位置应施工准确,顶板及框架梁的纵筋应合理定位,并应避开螺栓孔或螺栓套管。
4.3 电机基础
4.3.1 电机基础宜采用现浇钢筋混凝土框架结构,结构选型及力学分析应符合本标准第4.1.2条规定。
4.3.2 框架式电机基础顶板振动控制点的横向水平振动位移可按下列公式计算:


式中:uxψ——框架式电机基础顶板振动控制点的横向水平振动位移(m);
ux——顶板重心的横向水平振动位移(m);
uψ一一顶板的扭转振动角位移(rad);
Ksx——基础及地基的总横向水平刚度(kN/m);
Ksψ——基础及地基的总抗扭刚度(kN/m);
ωx——顶板的水平横向固有圆频率(r/min);
ωψ一一顶板的扭转向固有圆频率(r/min);
loj——第j榀横向框架平面到顶板重心的距离(m);
h4——基础底板底面至顶板顶面的距离(m);
Kxj——第j榀横向框架的水平刚度(kN/m);
δj——无因次系数;
lψ——基础顶板重心到振动控制点的水平距离(m);
Ibj——第j榀横向框架横梁的截面惯性矩(m4);
Icj——第j榀横向框架柱的截面惯性矩(m4);
hj——第j榀横向框架柱的计算高度(m);
lj——第j榀横向框架横梁的计算跨度(m),可取两个柱子中心线距离的0.9倍;
Jw——折算质量ms对通过顶板重心竖向轴的惯性矩(t·m2);
ld——顶板的长度(m);
me——基组折算质量,可取全部机器质量、基础顶板及柱子质量的0.3倍;
Ec——混凝土的弹性模量(kPa);
Fvx一一作用在基础顶板的水平横向扰力(kN)。
4.3.3 框架式电机基础顶板振动控制点的纵向水平振动位移可按下列公式计算:


式中:uyψ——框架式电机基础顶板振动控制点的纵向水平振动位移(m);
uy——顶板重心的纵向水平振动位移(m);
Ksy——基础及地基的总纵向水平刚度(kN/m);
ωy——顶板的水平纵向固有圆频率(r/min);
loi—一第i榀纵向框架平面到顶板重心的距离(m);
Kyi——第i榀纵向框架的水平刚度(kN/m);
δi——无因次系数;
Ibi——第i榀纵向框架横梁的截面惯性矩(m4);
Ici——第i榀纵向框架柱的截面惯性矩(m4);
Hi—一第i榀纵向框架柱的计算高度(m);
li——第i榀纵向框架横梁的计算跨度(m),可取两个柱子中心线距离的0.9倍;
lb——顶板的宽度(m)。
4.3.4 当电机基础不验算由动力荷载和温度差产生的平面弯曲应力时,顶板梁侧面配置的构造配筋(图4.3.4)应符合下列规定:

1 上部构造钢筋的截面AR2不应小于0.1%bnhn;
2 下部构造钢筋的截面AR1不应小于0.1%bh;
3 钢筋直径不应小于16mm,间距宜取150mm~250mm。
4.3.5 基础构件的承载力计算,可按本标准第4.1节的规定确定。
4.3.6 电机基础采用大块式和墙式基础时,动力计算与构造要求可按本标准第5章的规定确定。
5 往复式机器基础
5.1 一般规定
5.1.1 往复式机器基础设计原则、地基要求、与相邻结构的要求,应符合本标准第4.2.1条~第4.2.3条的规定。
5.1.2 往复式机器基础外形尺寸应按制造厂的机器图纸、辅助设备布置和配管条件等资料确定。基础形式应简单规整,宜对称布置,质量分布宜均匀,一般情况下可采用大块式基础;当机器操作平台位于二层楼面标高时,可采用墙式基础,墙式基础构件之间应采取措施加强整体连接。
5.1.3 往复式机器基础的计算,应包括下列内容:
1 地基承载力的验算;
2 振动验算时,基础控制点的振动值不大于容许振动值;
3 沉降验算时,基础的沉降和倾斜不大于容许值;
4 偏心验算时,基组的总重心与基础底面形心在横、纵两个方向的偏心距均不超过对应底板边长的3%。
5.1.4 除立式压缩机基础外,对于功率小于80kW的往复式机器基础和功率小于500kW的对称平衡型往复式机器基础,当基础质量大于机器质量的5倍且基础底面的平均静压力标准值小于地基承载力特征值的1/2时,可不进行动力计算。
5.2 振动计算
5.2.1 竖向扰力作用在基组坐标系(图5.2.1)的重心时,基础顶面控制点沿z轴的竖向振动位移,可按下列公式计算:


式中:uzz——基础顶面控制点由于竖向振动产生的沿z轴竖向振动位移(m);
Fvz——机器的竖向扰力(kN);
Kz——天然地基的抗压刚度(kN/m),当为桩基时应采用Kpz;
ω——机器的扰力圆频率(rad/s);
ωnz—一基组的竖向振动固有圆频率(rad/s);
ζz一一天然地基的竖向阻尼比,当为桩基时应采用ζpz;
m——天然地基上基组的质量(t),当为桩基时采用mpz,可按公式(3.4.19-1)计算;
mf——基础的质量(t);
mm——基础上机器及附属设备的质量(t);
ms——基础底板上回填土的质量(t)。
5.2.2 基组在绕z轴的扭转力矩Mψ和沿y轴向偏心的水平扰力Fvx作用下(图5.2.2),基础顶面控制点B处沿x轴、y轴的水平向扭转振动位移,可按下列公式计算:

式中:uxψ一一基础顶面控制点由于扭转振动产生的沿x轴的水平振动位移(m);
uyψ一—基础顶面控制点由于扭转振动产生的沿y轴的水平振动位移(m);
uψ——基组绕z轴的扭转振动角位移(rad);
lx、ly——基础顶面控制点至z轴的距离分别在x轴、y轴的投影长度(m);
Mψ——机器的扭转扰力矩(kN·m);
Fvx——机器沿x轴的水平扰力(kN);
ey——机器水平扰力Fvx沿y轴向的偏心距(m);
Kψ——天然地基的抗扭刚度(kN·m),当为桩基时应采用Kpψ;
ωnψ——基组的扭转振动固有圆频率(rad/s);
ζψ——天然地基的扭转振动阻尼比,当为桩基时应采用ζpψ;
Jψ——基组(天然地基)对扭转轴z轴的转动惯量(t·m2),当为桩基时应取Jpψ。

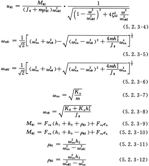
5.2.3 基组在水平扰力Fvx和沿x轴向偏心的竖向扰力Fvz作用下(图5.2.3),基础顶面控制点沿z轴竖向和沿x轴水平向的振动位移,可按下列公式计算:


式中:uzф、uxф——基础顶面控制点由于x-ф向耦合振动产生的沿z轴竖向、沿x轴水平向的振动位移(m);
uф1、uф2——基组绕y轴耦合振动第一、第二振型的回转角位移(rad);
ρф1、ρф2——基组绕y轴耦合振动第一、第二振型转动中心至基组重心的距离(m);
ωnф1、ωnф2——基组绕y轴耦合振动第一、第二振型的固有圆频率(rad/s);
ωnx、ωnф——基组沿x轴水平、绕y轴回转振动的固有圆频率(rad/s);
h0一一水平扰力Fvx作用线至基础顶面的距离(m);
h1——基组重心至基础顶面的距离(m);
h2——基组重心至基础底面的距离(m);
ex——机器竖向扰力Fvz沿x轴向的偏心距(m);
Jф——基组(天然地基)对基组坐标系y轴的转动惯量(t·m2),当为桩基时应采用Jpф;
Mф1、Mф2——基组x-ф向耦合振动中机器扰力绕通过第一、第二振型转动中心Oф1、Oф2并垂直于回转面zOx的轴的总扰力矩(kN·m);
Kx——天然地基沿x轴的抗剪刚度(kN/m),当为桩基时应采用Kpx;
Kф——天然地基绕y轴的抗弯刚度(kN·m),当为桩基时应采用Kpф;
ζh1、ζh2——天然地基x-ф向耦合振动第一、第二振型阻尼比,当为桩基时应采用ζph1、ζph2,当采用桩基时,公式(5.2.3-3)~公式(5.2.3-7)中的m应取mpx,可按本标准公式(3.4.19-2)计算。

5.2.4 基组在绕x轴的回转力矩Mθ和沿y轴向偏心的竖向扰力Fvz作用下(图5.2.4),基础顶面控制点沿z轴竖向和沿y轴水平向的振动位移,可按下列公式计算:



式中:uzθ、uyθ——基础顶面控制点由于y-θ向耦合振动产生的沿z轴竖向、沿y轴水平向的振动位移(m);
uθ1、uθ2——基组y-θ向耦合振动第一、第二振型的回转角位移(rad);
ρθ1、ρθ2——基组y-θ向耦合振动第一、第二振型转动中心至基组重心的距离(m);
ωnθ1、ωnθ2—一基组y-θ向耦合振动第一、第二振型的固有圆频率(rad/s);
ωny、ωnθ——基组沿y轴水平、绕x轴回转振动的固有圆频率(rad/s);
ey——机器竖向扰力Fvz沿y轴向的偏心距(m);
Jθ一—基组(天然地基)对基组坐标系x轴的转动惯量(t·m2),当为桩基时应采用Jpθ;
Mθ1、Mθ2——基组y-θ向耦合振动中机器扰力(矩)绕通过第一、第二振型转动中心Oθ1、Oθ2并垂直于回转面zOy的轴的总扰力矩(kN·m);
Mθ——绕x轴的机器扰力矩(kN·m);
Ky——天然地基沿y轴的抗剪刚度(kN/m),当为桩基时应采用Kpy;
Kθ——天然地基绕x轴的抗弯刚度(kN·m),当为桩基时应采用Kpθ;
ζh1、ζh2——天然地基y-θ向耦合振动第一、第二振型阻尼比,当为桩基时应采用ζph1、ζph2,当采用桩基时,公式(5.2.4-3)~公式(5.2.4-7)中的m应取mpy,可按本标准公式(3.4.19-3)计算。
5.2.5 基础顶面控制点沿各轴向的振动位移和振动速度,可按下列公式计算:

式中:u—一基础顶面控制点的振动位移(m);
v——基础顶面控制点的振动速度(m/s);
u'j一一在机器第j个一谐扰力或扰力矩作用下,基础顶面控制点的振动位移(m);
u"k——在机器第k个二谐扰力或扰力矩作用下,基础顶面控制点的振动位移(m);
ω'——机器的一谐扰力和扰力矩的圆频率(rad/s);
ω"——机器的二谐扰力和扰力矩的圆频率(rad/s);
n一—机器工作转速(r/min)。
5.2.6 2台或3台相同类型往复式机器基础,应置于同一底板上构成联合基础(图5.2.6),当符合下列条件时,可将联合基础视为刚性基础,并应按下列规定进行动力计算:

1 联合基础不同联合型式的刚度界限值,应符合表5.2.6的规定。

2 联合基础的固有圆频率应符合下列规定:
竖向型联合基础:
![]()
水平串联型、水平并联型联合基础:
![]()
式中:ω'nz——联合基础划分为单台基础的竖向固有圆频率(rad/s);
ω'nф1——联合基础划分为单台基础绕y轴水平回转耦合振动第一振型的固有圆频率(rad/s)。
3 联合基础的底板厚度不应小于600mm;底板厚度与总高度比值,应符合下式要求:

式中:hd——联合基础的底板厚度(m);
H0——联合基础的总高度(m)。
5.2.7 当联合基础作为刚性基础进行动力计算时,宜符合本标准第5.2.1条~第5.2.5条的规定,并应对基础各台机器的一、二谐扰力和扰力矩作用下分别计算各向的振动位移和联合基础顶面控制点的总振动位移,应取各台机器在扰力和扰力矩作用下的振动位移平方和的平方根。
5.3 构造要求
5.3.1 墙式基础的底板、纵横墙和顶板尺寸应符合下列规定:
1 顶板的厚度应按计算确定,但不宜小于150mm;
2 顶板的悬臂长度,不宜大于2000mm;
3 机身部分墙的厚度,不宜小于500mm;
4 气缸部分墙的厚度,不宜小于400mm;
5 底板的厚度,不宜小于600mm;
6 底板的悬臂长度,当以竖向振动为主时,不宜大于板厚的2.5倍;当以水平振动为主时,不宜大于板厚的3倍。
5.3.2 基础的配筋应符合下列规定:
1 大块式基础应沿四周和顶面、底面配置钢筋网,钢筋直径宜为10mm~14mm,双向间距宜为200mm~300mm。
2 墙式基础的墙面应配置钢筋网,竖向钢筋直径宜为12mm~16mm,水平钢筋直径宜为10mm~14mm,双向间距宜为200mm~300mm。上部梁板的配筋应按承载力计算确定,墙与底板、上部梁板连接处应增加构造配筋。
3 大块式基础底板的悬臂部分以及墙式基础底板的配筋,应按承载力计算确定,上下两侧均应配置钢筋。
4 当基础上的开孔或切口尺寸大于500mm时,应沿开孔或切口周围配置钢筋,其直径不应小于12mm、间距不应大于200mm。
6 冲击式机器基础
6.1 锻锤基础
Ⅰ 一般规定
6.1.1 缎锤基础的设计宜符合下列规定:
1 锻锤基础可采用梯形或台阶形的整体大块式基础;
2 当地基土为软弱土或锻锤基础外形尺寸受限制时,宜采用砧座隔振基础或人工地基。
6.1.2 砧座垫层的材料应符合下列规定:
1 由方木或胶合方木组成的木垫,宜选用材质均匀、耐腐性较强的一等材,并应经干燥及防腐处理,其树种以及力学性能参数应按现行国家标准《木结构设计标准》GB 50005的规定采用。
2 本垫的材质应符合下列规定:
1)横放木垫可采用TB20、TB17,对于不大于1t的锻锤亦可采用TB15、TC17、TC15;
2)竖放木垫可采用TB15、TC17、TC15;
3)竖放木垫下的横放木垫可采用TB20、TB17;
4)木材表层绝对含水率,当采用方木时不宜大于25%,当采用胶合方木时不宜大于15%。
3 对于不大于5t的锻锤可采用橡胶垫,橡胶垫可由普通运输胶带或普通橡胶板组成,含胶量不宜低于40%,肖氏硬度宜为65Hs;胶种和材质的选择,应符合下列规定:
1)胶种宜采用氯丁胶、天然胶或顺丁胶;
2)当锻锤使用时间每天超过16h时,宜选用耐热橡胶带(板);
3)运输胶带的力学性能应符合现行行业标准《耐热输送带》HG 2297的有关规定,普通橡胶板的力学性能宜符合现行国家标准《工业用橡胶板》GB/T 5574的有关规定。
Ⅱ 振动计算
6.1.3 锻锤基础顶面竖向振动位移、振动加速度和固有圆频率,可按下列公式计算:

式中:uz——锻锤基础的竖向振动位移(m);
az——锻锤基础的竖向振动加速度(m/s2);
ημ——振动位移调整系数;
ηλ——频率调整系数;
ωnz——锻锤基础的竖向振动固有频率(rad/s);
Kz——天然地基抗压刚度(kN/m),当为桩基时采用Kpz;
G——基础、砧座、锤架及基础上回填土的总重量(kN);当为桩基时,应包括桩和桩间土参加振动的当量重量,其值可按本标准第3.4.19条的规定进行换算;
Go——落下部分的实际重量(kN);
ψe——冲击回弹影响系数;
vo——落下部分的最大速度(m/s)。
6.1.4 振动位移调整系数和频率调整系数可按下列规定取值:
1 除岩石外的天然地基,振动位移调整系数可取0.6,频率调整系数可取1.6;
2 桩基的振动位移调整系数和频率调整系数可取1.0。
6.1.5 冲击回弹影响系数可按下列规定取值:
1 模锻锤模锻钢制品时,可取0.5s/m1/2;模锻有色金属制品时,可取0.35s/m1/2;
2 自由锻锤可取0.4s/m1/2。
6.1.6 锻锤落下部分的最大速度应符合下列规定:
1 对于单作用的自由下落锤,可按下式计算:
![]()
2 对于双作用锤,可按下式计算:

3 当给出锻锤最大打击能量时,应按下式计算:

式中:H——落下部分最大行程(m);
Po——气缸最大进气压力(kPa);
Ao——气缸活塞面积(m2);
E1——锤头最大打击能量(kJ)。
6.1.7 单臂锻锤基础的锤击中心、基础底面形心和基组重心宜位于同一铅垂线上;当不在同一铅垂线上时,锤击中心与基础底面形心应对准,且锤击中心与基组重心的偏心距不应大于基础偏心方向边长的5%;锻锤基础边缘的竖向振动位移可按下式计算:
![]()
式中:uez——锤击中心、基础底面形心与基组重心不在同一铅垂线上时,锻锤基础边缘的竖向振动位移(m);
eh一一锤击中心与基组重心的偏心距(m);
bh——锻锤基础偏心方向的边长(m)。
6.1.8 垫层上砧座的竖向振动位移可按下式计算:
![]()
式中:uzl—一垫层上砧座的竖向振动位移(m);
do——砧座下垫层的总厚度(m),可按第6.1.9条的规定取值;
Gh一一对模锻锤为砧座和锤架的总重量,对自由锻锤为砧座重量(kN);
A1——砧座底面积(m2)。
6.1.9 砧座下垫层的总厚度不应小于表6.1.9的规定值,总厚度可按下式计算:
![]()
式中:fc——垫层承压强度设计值(kN/m2);
E——垫层的弹性模量(kN/m2)。

Ⅲ 构造要求
6.1.10 砧座下垫层的铺设方式应符合下列规定:
1 木垫横放并由多层组成时,上下各层应交迭成十字形;最上层沿砧座底面的短边铺设,每层木垫厚度不宜小于150mm,并应每隔0.5m~1.0m用螺栓将方木拧紧,螺栓直径可按表6.1.10采用。

2 木垫竖放时,宜在砧座凹坑底面先横放一层厚100mm~150mm的木垫,然后再沿凹坑用方木立砌,并将顶面刨平;对小于0.5t锻锤可不放横向垫木。
3 橡胶垫由一层或数层运输胶带或橡胶板组成,上下各层应顺条通缝迭放,并应在砧座凹坑内满铺。
6.1.11 砧座垫层下基础部分的最小厚度应符合表6.1.11的规定。

6.1.12 锻锤基础在砧座垫层下1.5m高度范围内,不得设置施工缝;砧座垫层下的基础上表面应一次抹平,不得做找平层;木垫下基础的水平向倾斜度不应大于1‰,橡胶垫下的水平向倾斜度不应大于0.5‰。
6.1.13 基础的配筋应符合下列规定:
1 砧座垫层下基础上部应配置水平钢筋网,钢筋直径宜为12mm~20mm,钢筋间距宜为100mm~150mm,伸过砧座凹坑内壁的长度,不宜小于50倍钢筋直径;钢筋网宜伸至基础外缘,钢筋网的层数可按表6.1.13采用,各层钢筋网的竖向间距宜为100mm~200mm,并宜按上密下疏的原则布置;最上层钢筋网的混凝土保护层厚度宜为30mm~50mm。

2 砧座凹坑的四周应配置竖向钢筋网,钢筋间距宜采用100mm~250mm;当锻锤小于5t时,钢筋直径宜采用12mm~20mm;当锻锤不小于5t时,钢筋直径宜采用20mm~25mm;竖向钢筋宜伸至基础底面。
3 基础的底面应配置水平钢筋网,钢筋间距宜为100mm~250mm;当锻锤小于5t时,钢筋直径宜采用12mm~20mm;当锻锤不小于5t时,钢筋直径宜采用18mm~25mm。
4 基础及基础台阶顶面,砧座凹坑外侧面及不小于2t的锻锤基础侧面,应配置钢筋网,钢筋直径宜采用12mm~20mm、间距宜为150mm~250mm。
5 不小于5t锻锤砧座垫层下的基础,应沿竖向配置水平钢筋网,钢筋直径宜采用12mm~20mm,水平间距不宜大于400mm,竖向间距不宜大于800mm。
6.1.14 砧座凹坑与砧座、垫层的四周间隙中,应采用沥青麻丝填实,并应在间隙顶面50mm~100mm范围内用沥青浇灌。
6.1.15 锻锤基础与厂房基础的净距不宜小于500mm;当同一厂房内有多台10t及以上的锻锤时,各锻锤基础中心线的距离不宜小于30m或采用隔振基础。
6.2 落锤基础
Ⅰ 一般规定
6.2.1 落锤破碎坑基础的结构形式,应根据生产工艺、破碎坑及砧块的平面尺寸、地基土的类别和落锤的冲击能量综合分析后确定。
6.2.2 简易破碎坑基础的设计应符合下列规定:
1 当地基土为一、二类土时,破碎坑基础的底部在深度不小于2m的土坑内宜分层铺砌厚度不小于1m的废钢锭、废铁块,孔隙处应以碎铁块和碎钢颗粒填实,其上应铺砌砧块;
2 当地基土为三、四类土时,破碎坑中的废钢锭、废铁块应铺砌在夯实的砂石类垫层上,垫层的厚度可根据落锤冲击能量与地基土的承载力确定,宜取1m~2m;
3 简易破碎坑基础可不进行动力计算。
6.2.3 落锤车间的破碎坑基础应符合下列要求:
1 落锤车间的破碎坑基础,应采用带圆筒形或矩形钢筋混凝土坑壁的基础,埋置深度应根据地质情况及构造要求确定,宜取3m~6m。
2 对一、二、三类地基土,可不设刚性底板[图6.2.3(a)]当为四类土时,宜采用带刚性底板的槽形基础[图6.2.3(b)]。
3 基础坑底应铺设厚度不小于1m的砂石类垫层,垫层上可铺砌废钢锭或废铁块,孔隙处应以碎铁块和碎钢颗粒填实,铺砌厚度可按下列规定确定:
1)对冲击能量不大于1200kJ的落锤,铺砌厚度不应小于1.0m;
2)对冲击能量大于1200kJ的落锤,铺砌厚度不应小于1.5m。
4 破碎坑的最上层应铺设砧块。

6.2.4 当落锤破碎坑基础建造在饱和的粉土、细砂或淤泥质土层上时,地基应进行人工加固处理。
Ⅱ 振动计算
6.2.5 落锤车间内破碎坑基础的竖向振动位移、固有圆频率和振动加速度,可按下列公式计算:

式中:G一一基础、砧块和填充料等总重(kN)。
6.2.6 落锤破碎坑基础的容许振动位移和容许振动加速度,可按表6.2.6采用。

Ⅲ 构造要求
6.2.7 根据落锤的冲击能量,圆筒形坑壁的厚度宜为300mm~600mm,坑壁内、外应各配一层钢筋网,环向总配筋率不宜小于1.2%,竖向总配筋率不宜小于0.5%。
6.2.8 矩形破碎坑的设计,应符合下列规定:
1 矩形坑壁顶部厚度不宜小于500mm,底部厚度不宜小于1500mm;
2 坑壁四周、顶部和底面应配筋,水平向钢筋直径宜采用18mm~25mm,竖向钢筋直径宜采用16mm~25mm,钢筋间距宜为150mm~200mm;沿坑壁内转角应增设直径为12mm~20mm、间距为200mm的水平钢筋;
3 坑壁外露部分的内侧和顶部,根据可能碰撞的情况,宜增设1层~2层钢筋网,钢筋直径宜采用12mm~20mm,间距宜为200mm;
4 当矩形破碎坑的长边大于18m,且落锤冲击能量大于1200kJ时,可在坑壁中配置劲性钢筋。
6.2.9 对内径或内短边小于5m的槽形破碎坑基础的设计,应符合下列规定:
1 槽形破碎坑基础的构造,应符合表6.2.9的规定;
2 基础底板上部和下部应配置钢筋网,上部钢筋直径宜为12mm~20mm,间距宜为250mm~300mm,下部钢筋直径宜为16mm~25mm,间距宜为300mm~400mm,钢筋网层数应符合表6.2.9的规定,各层钢筋网的竖向距离宜为100mm~150mm。

6.2.10 破碎坑的砧块应符合下列规定:
1 破碎坑的砧块宜采用整块钢板,厚度不宜小于500mm,砧块的自重应符合下式要求:
![]()
式中:Gb——砧块自重(kN);
Co——落锤锤头重(kN)。
2 破碎坑的砧块采用数块钢板或钢锭拼成时,每块钢板或钢锭应互相紧密接触,间隙可采用碎钢粒填实;钢锭的截面应符合下列规定:
1)当落锤冲击能量小于1200kJ时,钢锭的厚度不宜小于600mm;
2)当落锤冲击能量不小于1200kJ,仅采用一层钢锭时,钢锭的厚度不应小于1000mm,采用二层钢锭时,钢锭的厚度不宜小于600mm。
3 砧块与废钢锭、废铁块之间,可采用150mm~200mm厚的碎铁块和钢颗粒填充,并应使其表面平整、接触严密。
6.2.11 砧块顶面宜低于钢筋混凝土坑壁的顶面1.0m~2.5m,坑壁外露的内侧与顶面的保护,应符合下列规定:
1 坑内侧与顶面应采用钢锭或钢坯保护,内侧处钢锭厚度不宜小于500mm,顶面处的钢锭或钢坯厚度不宜小于200mm,亦可采用厚度不小于50mm的低碳钢钢板进行保护;
2 钢锭、钢坯或钢板与混凝土壁表面间应衬以厚度不小于150mm的方木或厚度不小于20mm的橡胶垫。
7 压力机基础
7.1 一般规定
7.1.1 热模锻压力机和通用机械压力机基础宜采用地坑式钢筋混凝土结构;当生产和工艺不要求设地坑时,亦可采用大块式钢筋混凝土基础;螺旋压力机宜采用大块式钢筋混凝土基础。
7.1.2 压力机基础的自重,不宜小于压力机自重的1.1倍~1.5倍,对软弱地基可取压力机自重的1.5倍。在基础自重相同的条件下,宜增大基础的底面积、减小埋置深度。
7.1.3 当采用天然地基时,公称压力为10000kN及以上的热模锻压力机和通用机械压力机基础以及公称压力为6300kN及以上的螺旋压力机基础不宜设置在四类土层上;当必须设置在四类土地基上时,压力机基础宜采用人工地基。
7.1.4 公称压力小于12500kN的热模锻压力机和通用机械胀力机基础以及公称压力小于6300kN的螺旋压力机基础,当对振动无特殊要求时可不进行动力计算。
7.2 振动计算
7.2.1 热模锻压力机和通用机械压力机基础的动力计算,应按启动阶段和锻压阶段两种情况进行;启动阶段应计算基础的竖向和水平向振动位移.锻压阶段可仅计算基础的竖向振动位移。
7.2.2 热模锻压力机和通用机械压力机启动阶段,基组在通过其重心的竖向扰力作用下,竖向振动位移、固有圆频率和固有周期可按下列公式计算:


式中:uz——基础竖向振动位移;
Fvz0——压力机起动阶段通过基组重心的竖向扰力峰值(kN);
Tnz——基组竖向固有周期(s);
ηmax——动力系数,可按本标准附录D的规定确定;
Kz——天然地基抗压刚度,当为桩基时采用Kpz;
m——天然地基上基组的质量(t),当为桩基时采用mpz;
ωnz——基础竖向固有圆频率。
7.2.3 热模锻压力机和通用机械压力机的启动阶段,基组在水平扰力、扰力矩和竖向扰力的偏心作用下(图7.2.3),竖向振动位移、水平向振动位移和固有圆频率可按下列公式计算:


式中:uzф——基础顶面控制点在水平扰力Fvx、扰力矩Mф及竖向扰力Fvz偏心作用下的竖向振动位移(m);
uxф——基础顶面控制点在水平扰力Fvx、扰力矩Mф及竖向扰力Fvz偏心作用下的水平向振动位移(m);
ωnф1——基组水平回转耦合振动第一振型的固有频率(rad/s);
ωnф2——基组水平回转耦合振动第二振型的固有频率(rad/s);
Mф1——绕通过第一振型转动中心Oф1并垂直于回转面的轴的总扰力矩(kN·m);
Mф2——绕通过第二振型转动中心Oф2并垂直于回转面的轴的总扰力矩(kN·m);
η1max——第一振型有阻尼动力系数,可按本标准附录D的规定确定;
η2max——第二振型有阻尼动力系数,可按本标准附录D的规定确定。
7.2.4 热模锻压力机的锻压阶段,基组的竖向振动位移应按下列公式计算:

式中:FH——压力机公称压力(kN);
ωnm——压力机上部质量m1与立柱组成体系的固有圆频率(rad/s);
K1——压力机各立柱竖向刚度之和(kN/m);
m1——压力机上部质量(t);
mu——压力机立柱以上各部件的质量(t);
mm——最重一套模具的上模质量(t);
mc——各立柱质量之和(t),当为装配型压力机时,应包括拉杆螺栓的质量。
7.2.5 螺旋压力机的锻压阶段,基组的扭转振动角位移可按下式计算:

式中:Mψ——螺旋压力机的扭转扰力矩(kN·m),可按现行国家标准《建筑振动荷载标准》GB/T 51228的规定确定;
kψ——基组的抗扭刚度(kN·m);
ηψmax——动力系数,可按本标准附录D的规定确定。
7.3 构造要求
7.3.1 压力机基础的混凝土强度等级不应低于C30;对于地坑式基础,当有地下水时应采用防水混凝土。
7.3.2 热模锻压力机和通用机械压力机基础侧壁和底板的厚度应按计算确定,侧壁厚度不应小于200mm,底板厚度不应小于300mm;对公称压力为20000kN及以上的压力机基础,侧壁和底板的厚度应适当增加。
7.3.3 压力机基础的配筋应按计算确定,构造应符合下列规定:
1 压力机基础的钢筋应采用HRB400、HRBS00、HRBF400、HRBF500、HRB335、RRB400钢筋;
2 热模锻压力机和通用机械压力机基础侧壁内外侧、底板上下部以及台阶顶面和侧面,应配置间距为150mm的钢筋网,对公称压力20000kN及以下的压力机基础,钢筋直径可采用12mm;公称压力大于20000kN的压力机基础,钢筋直径不宜小于14mm;
3 螺旋压力机大块式基础钢筋直径不宜小于12mm;
4 在地脚螺栓套筒下端应加设一层钢筋网(图7.3.3)。

8 破碎机和磨机基础
8.1 破碎机基础
Ⅰ 一般规定
8.1.1 破碎机基础型式应符合下列规定:
1 一般情况下,宜采用大块式基础;
2 当机器底座位置较高时,宜采用墙式基础或框架式基础;
3 当多台破碎机设置在一起时,宜采用联合基础;
4 当采用天然地基不能满足承载力或沉降要求时,应进行地基处理或采用桩基础;
5 当设置在稳定基岩上,且符合本标准附录A中第A.0.1条规定时,可采用锚杆基础,锚杆基础设计宜符合本标准附录A的规定;
6 当设置在楼层上或需减小振动影响时,宜采用隔振基础或采取隔振措施。
8.1.2 除岩石地基外,破碎机基础基组的平衡设计应符合本标准第3.2.3条的规定;扰力作用方向的基组固有频率应避免与干扰主频率产生共振。
Ⅱ 振动计算
8.1.3 破碎机基础的振动计算应符合下列规定:
1 墙式基础可按大块式基础计算;
2 大块式基础的振动位移应按本标准第5.2节的规定计算;
3 框架式基础顶板的竖向振动位移可不计算;水平扰力作用方向的横向水平振动位移,可按本标准公式(4.3.2-1)~公式(4.3.2-10)计算;水平扰力作用方向的纵向水平振动位移,可按本标准公式(4.3.3-1)~公式(4.3.3-10)计算;
4 联合基础振动控制点的振动位移,宜取各台机器在该点产生的振动位移计算值的平方和开方;
5 锚杆基础可不进行振动计算。
8.1.4 墙式基础和框架式基础的振动控制点,应取振动最大的顶板角点。
8.1.5 破碎机基底平均静压力计算时,除满足本标准第3.3.1条规定外,尚应计入破碎机基础作用于基底的振动荷载,振动荷载可取破碎机扰力的3倍~4倍,锤式及反击式宜取较大值。
Ⅲ 构造要求
8.1.6 墙式基础的设置应符合下列规定:
1 墙设置宜符合下列规定:
1)墙宜双向设置;
2)当不能双向设置时,宜平行于水平主扰力方向设置,墙厚不应小于400mm,高厚比不宜大于6;
3)当墙不能平行于水平主扰力方向设置,或平行于水平主扰力方向设置的墙同时承受垂直于墙的较大扰力时,墙厚不应小于500mm,高厚比不宜大于4;
4)单向设置的墙高度大于3m时,设备支座下及墙端宜设扶壁柱或暗柱,设备以下空间宜连成整体。
2 墙顶应设顶板,顶板应符合下列规定:
1)顶板厚度不宜小于500mm和板跨的1/6,当需安装地脚螺栓时,应满足螺栓锚固长度要求;
2)顶板悬臂长度不宜大于1500mm,厚度不宜小于200mm,当支承辅机时,悬臂部分厚度不宜小于500mm,且应满足螺栓锚固长度要求;
3)顶板洞口边无墙时,应设边梁或暗梁。
3 墙底应设筏板基础,基础厚度不应小于600mm和墙厚,联合基础的厚度不应小于800mm;悬臂长度不应大于筏板厚度的2.5倍。
8.1.7 框架式基础的设置,应符合下列规定:
1 框架宜双向设置;
2 破碎机应支承在框架柱顶和框架梁上;
3 框架顶节点宜加掖,当水平刚度不足时,宜双向设置柱间支撑。
8.1.8 破碎机基础与相邻建筑物基础的基底应持平并完全脱离,当局部重叠时,应设凹槽垫干砂或柔性材料隔离,基础四周宜设隔振沟。
8.2 磨机基础
Ⅰ 一般规定
8.2.1 磨机应采用混凝土基础,基础型式应符合下列规定:
1 一般情况下,宜采用大块式基础或墙式基础;
2 当工艺需要且地基承载力满足要求时,管磨机的磨头和磨尾可分别采用独立基础;
3 当多台磨机设置在一起时,可采用联合基础;
4 当天然地基的承载力或沉降不满足要求时,应进行地基处理或采用桩基础;
5 当振动控制不满足要求时,宜采用隔振基础或采取隔振措施。
8.2.2 当磨机与辅助机械采用同一基础时,磨机宜设置于基础中部区域;当必须偏置时,磨机下对应的基底压应力不应超过基底压应力平均值。
8.2.3 除岩石地基外,磨机基础基组的平衡设计应符合本标准第3.2.3条的规定;磨机主要扰力作用方向的基组固有频率,宜避免与干扰频率产生共振。
Ⅱ 振动计算
8.2.4 当周边环境对磨机基础振动无控制要求时,中、低转速磨机的大块式基础和墙式基础可不进行振动位移验算。
8.2.5 高转速磨机及工程需要控制振动的磨机基础,振动位移可按本标准第5.2节的规定计算。
8.2.6 磨机墙式基础振动位移控制点,宜取基础顶板的角点。
Ⅲ 内力计算
8.2.7 卧式磨机基底静压力计算时,除应符合本标准第3.3.1条规定外,尚应包括碾磨体的定向水平荷载产生的基底倾覆力矩,倾覆力矩值可按磨机内碾磨体总重力的15%作用于端轴承中心处计算(图8.2.7)。

Ⅳ 构造要求
8.2.8 磨机基础与相邻建筑物基础的基底应持平并完全脱离;当局部重叠时,应设凹槽垫干砂或柔性材料隔离;当周围环境对振动控制要求较高时,基础四周宜设隔振沟。
8.2.9 磨机基础的构造和配筋,当大型磨机的深基础厚度超过3m时,宜在基础内沿高度方向按间距1500mm~2000mm配置双向钢筋网片,钢筋直径不宜小于12mm,间距不宜小于300mm。
8.2.10 球(棒)磨机小齿轮支座处的水平配筋,直径不宜小于12mm,间距不宜大于100mm。
9 振动试验台基础
9.1 液压振动台基础
Ⅰ 动力计算
9.1.1 液压振动台振动荷载的确定应符合下列规定:
1 液压振动台基础设计时的振动荷载,应取作动器或激振器作用在基础上的激振力;振动荷载应满足包络条件并应覆盖试验频率范围。
2 振动荷载计算时应按被试对象的动力特性计入动力放大系数,放大系数应符合下列规定:
1)轮胎耦合道路模拟试验机,动力放大系数可取1.25;
2)对于质量较大且动力特性复杂的被试对象,振动荷载应根据试验过程中试件共振响应大小计入相应的动力放大系数;
3)当被试对象重心较高,且水平激振作用时,应计入试件水平运动过程中产生的倾覆力矩。
9.1.2 液压振动台基础设计时,应验算下列情况下基础的振动:
1 竖向激振力作用在基础重心上,基础产生的竖向振动[图9.1.2(a)];
2 扭转力矩绕基础竖向z轴作用时,基础产生的横摆振动[图9.1.2(b)];
3 竖向偏心激振力和水平激振力同时作用在基础上,基础产生俯仰或侧倾和平动的耦合振动[图9.1.2(c)、图9.1.2(d)]。
9.1.3 竖向扰力沿基础重心作用时[图9.1.2(a)],液压振动台基础的竖向振动位移可按本标准第5.2.1条计算。

9.1.4 在水平扭转力矩绕基础竖向z轴作用时[图9.1.2(b)],液压振动台基础产生横摆振动,基础顶面控制点处沿x、y轴的水平振动位移,可按本标准第5.2.2条计算;基础绕z轴的水平摆动角位移可按下式计算:

式中:uψ——基础绕z轴水平摆动的振动角位移(rad);
Mzψ——基础扭转力矩(kN·m);
ωnψ——基础横摆振动固有圆频率(rad/s)。
9.1.5 在沿x向偏心的竖向扰力Fvz和水平扰力Fvx作用下[图9.1.2(c)],液压振动台基础产生俯仰和平动耦合振动时,基础顶面控制点x向水平和竖向的振动位移,可按本标准第5.2.3条的规定计算。
9.1.6 在沿夕向偏心的竖向扰力Fvz和水平扰力Fvy作用下[图9.1.2(d)],液压振动台基础产生侧倾和平动耦合振动时,基础顶面控制点y向水平和竖向的振动位移,可按本标准第5.2.4条的规定计算,其中Mθ1和Mθ2可按下列公式计算:

式中:Mθ1、Mθ2——基组y-θ向耦合振动中机器扰力(矩)绕通过第一、第二振型转动中心Oθ1、Oθ2并垂直于回转面zOy轴的总扰力矩(kN·m);
h0——水平扰力Fvy作用线至基础顶面的距离(m);
h1——基组重心至基础顶面的距离(m);
ρθ1、ρθ2——基组y-θ向耦合振动第一、第二振型转动中心至基组重心的距离(m);
ey一—机器竖向扰力Fvz沿y轴向的偏心距(m);
Fvy——机器沿y轴的水平扰力(kN);
Fvz——机器的竖向扰力(kN)。
9.1.7 当液压振动台基础同时具有俯仰和侧倾振动时,应按本标准第9.1.5条和第9.1.6条的规定分别计算俯仰和侧倾两个竖向位移分量,基础顶面控制点的竖向振动位移,宜按下式进行叠加:
![]()
式中:uz——基础顶面控制点的竖向振动位移(m);
uzф——x-ф向耦合振动产生的基础顶面控制点沿z轴竖向的振动位移(m);
uzθ——y-θ向耦合振动产生的基础顶面控制点沿z轴竖向的振动位移(m)。
Ⅱ 构造要求
9.1.8 液压振动台基础的材料和连接应符合下列规定:
1 振动试验台基础宜采用整体块式混凝土结构;
2 振动台基础混凝土强度等级不应低于C30,受力钢筋应采用HRB400、HRB500、HRBF400和HRBF500钢筋;二次灌注应采用比基础混凝土高一个等级的微膨胀混凝土或者专用灌浆料;
3 混凝土块状基础内应设置三向分布钢筋,钢筋直径不宜小于14mm,间距不宜大于500mm;振动试验台基础侧面、顶面及底面应设置双向分布钢筋,钢筋直径不宜小于14mm,间距不宜大于200mm;
4 垫层厚度不宜小于100mm,垫层混凝土强度等级不宜低于C15;
5 混凝土保护层厚度不宜小于40mm,并应符合现行国家标准《混凝土结构设计规范》GB 50010的有关规定;
6 振动台基础周边应设置宽度不小于50mm的防振缝,防振缝可采用聚苯板、沥青麻丝等软性材料填充;
7 振动台基础宜与设备管沟分开,设置不小于50mm的防振缝,防振缝可采用橡胶板、挤型板、聚苯板、沥青麻丝等软性材料填充,并应做相应的防水处理;
8 振动台基础宜与建筑物基础、上部结构以及混凝土地面分开;
9 当管道与振动台连接产生较大振动时,管道与振动台连接宜采用柔性连接。
9.1.9 液压振动台基础的构造应符合下列规定:
1 振动台基础底面边长不应小于基础厚度,立柱式振动试验台基础底面长边与短边之比、厚度与短边之比均不宜大于2.0,多轴向振动试验台基础底面长边与短边之比、厚度与短边之比均不应小于1.5,基础厚度不宜小于2.0m;
2 对于道路模拟试验机等仅有竖向激振力作用的振动试验台基础,其基础重量不应小于最大激振力的10倍;地震试验台和MAST振动台等多方向、多自由度激振振动试验台,基础重量不应小于最大总激振力的15倍;
3 液压振动台基础不应直接设置在四类土上,当地基为四类土地基时,应采用人工地基。
9.2 电动振动台基础
Ⅰ 动力计算
9.2.1 电动振动台基础动力设计时,应验算下列情况下基础的振动:
1 竖向激振力作用在基础重心上,基础产生的竖向振动[图9.2.1(a)];
2 竖向激振力作用点偏离基础重心,作用在通过平行于基础长边的对称轴上,基础产生俯仰和平动耦合振动[图9.2.1(b)];
3 水平激振力作用在基础上方,且平行于基础长边的对称轴,基础产生侧倾和平动耦合振动[图9.2.1(c)]。

9.2.2 竖向扰力沿基础重心作用时[图9.2.1(a)],基础的竖向振动位移可按本标准第5.2.1条规定计算。
9.2.3 在沿x向偏心的竖向扰力Fvz作用下[图9.2.1(b)],电动振动台基础产生回转和平动耦合振动时,基础顶面控制点x向水平和竖向振动位移可按本标准第5.2.3条的规定计算,其中Mф1和Mф2可按下列公式计算:
![]()
式中:Mф1、Mф2——基组x-ф向耦合振动中机器扰力(矩)绕通过第一、第二振型转动中心Oф1、Oф2并垂直于回转面zOx轴的总扰力矩(kN·m);
ex——机器竖向扰力Fvz沿x轴向的偏心距(m);
Fvz——机器的竖向扰力(kN)。
9.2.4 在沿x方向水平扰力Fvx作用下[图9.2.1(c)],电动振动台基础产生回转和平动的耦合振动时,基础顶面控制点x向水平和竖向振动位移可按本标准第5.2.3条的规定计算,其中Mф1和Mф2可按下列公式计算:
![]()
式中:Mф1、Mф2——基组x-ф向耦合振动中机器扰力(矩)绕通过第一、第二振型转动中心Oф1、Oф2并垂直于回转面zOx轴的总扰力矩(kN·m);
h0一一水平扰力Fvx作用线至基础顶面的距离(m);
h1—一基组重心至基础顶面的距离(m);
ρф1、ρф2——基组x-ф向耦合振动第一、第二振型转动中心至基组重心的距离(m);
Fvx—一机器沿x轴的水平扰力(kN)。
Ⅱ 构造要求
9.2.5 电动振动台基础的材料和连接,宜符合本标准第9.1.8条的规定。
9.2.6 电动振动台基础的构造应符合下列规定:
1 振动台基础底面边长均不应小于基础厚度,竖向激振的电动振动台基础底面长边与短边之比不宜大于2.0,水平向激振的振动台基础底面沿激振方向的边长和厚度之比不应小于1.5,基础厚度不宜小于1.Om;
2 带有隔振装置的电动振动台,基础重量不应小于激振力的3.5倍;
3 电动振动台基础不宜直接设置在四类土上,当地基为四类土时,应采用人工地基。
10 金属切削机床基础
10.0.1 机床的类型宜按表10.0.1进行划分。

10.0.2 机床基础的形式应符合下列规定:
1 中小型机床可采用混凝土地面作为基础,混凝土地面应符合现行国家标准《建筑地面设计规范》GB 50037的有关规定;
2 大型机床宜采用单独基础或将混凝土地面局部加厚;
3 重型机床和精密机床应采用单独基础或桩筏基础;
4 机床与基础或机床与地面之间宜设置可调整机床水平度的弹性垫、楔形调整垫或楔形隔振调整垫。
10.0.3 当机床安装在单独基础上时,应符合下列规定:
1 基础平面尺寸不应小于机床支承面的外廓尺寸,并应满足安装、调整和维修要求;
2 金属切削机床基础的混凝土厚度宜按表10.0.3确定。


10.0.4 机床基础可不进行动力计算。
10.0.5 基础的配筋应符合下列规定:
1 在机床基础中配置钢筋网时,钢筋直径宜采用8mm~14mm,间距宜采用150mm~250mm,钢筋网宜配置在下列位置:
1)软弱地基土上或地质不均匀处的基础顶面和底面;
2)基础受力不均匀或局部受冲击作用的部位;
3)长度大于6m且小于11m的基础顶面和底面;
4)基础内坑、槽、洞口的边缘或基础断面变化较大部位;
5)支承点较少,集中力较大的部位。
2 当基础长度不小于11m或机床移动部件的重力较大时,宜按弹性地基梁、板计算配筋。
10.0.6 加工精度要求较高且重量大于300kN的重型机床,当基础建造在软弱地基上时,宜对地基采取预压加固措施;预压的重力可采用机床重力及加工件最大重力之和的2.0倍,并按实际荷载情况分布,分阶段达到预压重力,预压时间可根据地基固结情况确定。
10.0.7 大型、重型机床及精密机床的基础应与厂房柱基础脱开,精密机床尚应远离振动荷载较大的机床或设备。
10.0.8 精密机床基础应采取下列措施:
1 在基础四周设置防振缝与混凝土地面脱开,防振缝宜采用沥青麻丝等弹性材料填充;
2 当精密机床的加工精度要求较高时,应根据环境振动条件,在基础或机床底部采取隔振措施,并应符合现行国家标准《工程隔振设计标准》GB 50463的有关规定。
10.0.9 由地面传给坐落于地面的车床振动值,可按本标准附录C的规定确定。
附录A 锚桩(杆)基础设计
A.0.1 当岩石地基采用锚桩(杆)基础时,宜符合下列条件:
1 岩石的饱和单轴极限抗压强度大于30MPa,且岩石受地质构造影响轻微,节理、裂隙不发育,无黏土质层理夹层,整体性较好;
2 岩石的节理、裂隙虽较发育,但无溶洞、裂隙水,在采用压力灌浆处理后,尚能构成基本完整状态。
A.0.2 锚桩的钢筋应扎成笼形,主筋宜为4根~6根,直径宜采用12mm~16mm,锚桩的孔径可取100mm~200mm。
A.0.3 锚杆的主筋宜为单根,锚杆的孔径可取主筋直径的3倍,且应大于主筋直径加50mm。
A.0.4 主筋宜采用热轧带肋钢筋,不应采用光圆钢筋和冷加工钢筋。
A.0.5 锚桩(杆)孔宜采用细石混凝土灌注,混凝土强度等级不应低于C30,浇筑前应将钻孔清理干净。
A.0.6 锚桩(杆)之间的中距,不应小于锚桩(杆)孔直径的6倍,且不得小于400mm、不得大于1200mm,距基础边缘的净距不宜小于150mm。当采用锚杆时,锚入岩层的深度不应小于锚杆孔直径的20倍;当采用锚桩时,锚入岩层的深度不应小于锚桩孔直径的15倍。锚桩(杆)锚入基础深度,不应小于钢筋直径的25倍。
A.0.7 大块式基础的锚桩(杆)主筋应均匀布置,总截面面积可取基础底面积的0.05%~0.12%,总承载能力不应小于机器地脚螺栓的总承载能力。
A.0.8 墙式或框架式基础的锚桩(杆)总承载能力,不应小于墙内或柱内主筋总承载能力。
附录B 框架式基础的动力计算
B.1 空间多自由度体系计算
B.1.1 框架式基础采用空间多自由度体系进行有限元计算时,宜采用梁单元与实体单元模型,梁单元模型根据单元质量矩阵的不同,可采用集中质量模型和协调质量模型。
B.1.2 集中质量梁单元建模,应采用下列方法:
1 在集中质量梁单元模型中,宜将单元的总质量向其各节点进行集中;
2 集中质量梁单元建模可按本标准附录B第B.1.3条的规定进行简化计算(图B.1.2)。

B.1.3 集中质量梁单元力学模型的简化,应采用下列方法:
1 杆件的计算尺寸,可按下列规定确定:
1)柱的计算长度,可取底板顶到横梁中心的距离;
2)纵横梁的计算跨度,可取支座中心线间的距离;当各框架横梁的跨度之差小于30%时,可取其平均值;
3)当梁、柱截面较大或有加腋时(图B.1.3),梁刚性区长度可取1/4(b+b1),且不应大于柱宽度b的一半,柱刚性区长度可取1/4(h+h1),且不应大于梁高度h的一半。

2 质点应按下列规定选取:
1)柱子与横梁、纵梁交点均可设质点;
2)横梁中点可设一个质点;
3)纵梁在有扰力作用处可设质点;当无扰力作用时,亦可在中点设质点,但当纵梁跨度很小时,可不设质点;
4)应设置满足每一杆单元的基频都不低于工作转速1.4倍的质点,并应保证该转速范围内基础的所有振型都能参与叠加;其中纵横梁交点、梁柱交点以及振动荷载作用点应设置质点。
3 板式结构可划分为纵横梁计算。
B.1.4 在协调质量梁单元模型中,协调质量梁单元节点应包括3个线位移和3个角位移。
B.1.5 实体单元可采用8节点或20节点固体单元,每个节点应有3个沿着xyz方向平移的自由度,可具有任意的空间各向异性。
B.1.6 自由振动计算时,可按下式求解广义特征值:
![]()
式中:[K]——静刚度矩阵;
[M]——质量矩阵;
ω——特征值;
{X}——特征向量,应计算1.4倍工作转速内的全部特征对,每一特征对应包括一个特征值
及相应的特征向量{X}j。
B.1.7 强迫振动计算时,应采用下列方法:
1 当采用振型分解法计算振动位移或振动速度时,应取1.4倍工作转速内的全部振型进行叠加;
2 结构阻尼比可根据振动扰力值取0.02~0.0625,当振动扰力值小于转子动平衡等级G6.3对应荷载时,阻尼比宜取小值。
B.2 双自由度体系的简化计算
B.2.1 横向框架的竖向振动(图B.2.1)位移计算应符合下列规定:
1 当ωn2小于或等于0.131n(n为转速)时,应按下列情况分别计算扰力频率与第一、第二振型固有频率相同时的振动位移,并应符合下列规定:
1)当扰力频率与第一振型固有频率相同时,横梁中点和柱顶的竖向振动位移可按下列公式计算:

2)当扰力频率与第二振型固有频率相等时,横梁中点和柱顶的竖向振动位移可按下列公式计算:

![]()
式中:u11——当扰频与第一振型固有频率相等时,横梁中点的竖向振动位移(m);
u12——当扰频与第二振型固有频率相等时,横梁中点的竖向振动位移(m);
u21——当扰频与第一振型固有频率相等时,柱顶的竖向振动位移(m);
u22——当扰频与第二振型固有频率相等时,柱顶的竖向振动位移(m);
β1——第一振型的空间影响系数;
β2——第二振型的空间影响系数;
ηmax——最大动力系数,可取8;
αp——系数(mm)。
2 当ωn2大于0.131n时,应按公式(B.2.1-1)和公式(B.2.1-2)计算横梁中点和柱顶的竖向振动位移。

B.2.2 横向框架的固有圆频率、振型(位移比率)可按下列公式计算:


式中:ωn1——框架的竖向第一振型固有圆频率(rad/s);
ωn2——框架的竖向第二振型固有圆频率(rad/s);
m1——集中于横梁中点的质量(t);
m2——集中于两个柱顶的质量(t);
mm——集中于横梁中点的机器质量(t);
mb——横梁的质量(t);
mN——相邻纵梁传给框架两个柱的总质量(t),应包括结构和机器的质量;
mc——两个柱的质量(t);
lf——横向框架平面内两柱中心线间的距离(m);
hp——底板顶至横梁中心线的距离(m);
K1——框架梁的竖向刚度(kN/m);
K2——框架柱的竖向刚度(kN/m);
δ——无因次系数;
Ab——横梁的截面积(m2);
Ac——柱的截面积(m2);
Ib——横梁的截面惯性矩(m4);
Ic——柱的截面惯性矩(m4);
X21——第一振型时2点与1点的位移比率;
X22——第二振型时2点与1点的位移比率。
B.2.3 空间影响系数可按表B.2.3采用。

B.2.4 系数αp根据汽轮发电机的转速可按表B.2.4确定。

附录C 地面振动衰减的计算
C.0.1 当动力机器基础为竖向或水平向振动时,距该基础中心点r(m)处地面土的竖向或水平向的振动位移,宜由现场测试确定;当无条件测试时,可按下列公式计算:

式中:ur一一距基础中心r处地面上的振动位移(m);
u0一一基础的振动位移(m);
f0一——基础上机器的扰力频率(Hz),对于冲击机器基础,可采用基础的固有频率;
r0一一圆形基础的半径或矩形及方形基础的当量半径(m);
ξ0一无量纲系数,可按本附录第C.0.2条规定采用;
α0——地基土能量吸收系数(s/m),可按本附录第C.0.3条规定采用;
μ1一—方形及矩形基础动力影响系数,可按本附录第C.0.4条规定采用;
A——基础底面积(m2)。
C.0.2 无量纲系数ξ0,根据地基土的性质和动力机器基础的底面积,可按表C.0.2采用。

C.0.3 地基土能量吸收系数α0值,根据地基土的性质,可按表C.0.3采用。

C.0.4 方形及矩形基础动力影响系数μ1可按表C.0.4采用。

附录D 冲击式机器基础有阻尼动力系数ηmax值的计算
D.0.1 压力机、锻锤等冲击式机器的振动荷载在动力分析时可采用脉冲函数来描述冲击作用,脉冲函数可采用后峰齿形、对称三角形、矩形脉冲、正弦半波、正矢脉冲等,当振动能量较小时可采用后峰齿形脉冲,当振动能量较大时可采用矩形脉冲,冲击机器冲击作用所对应的脉冲函数形式可按照现行国家标准《建筑振动荷载标准》GB/T 51228执行;五种脉冲作用下的动力系数ηmax值,可按本标准附录第D.0.2条的规定采用。
D.0.2 当扰力为后峰齿形脉冲或对称三角形冲击脉冲时,基组的有阻尼动力系数ηmax(表D.0.2-1~表D.0.2-5)应按下列规定确定:
1 对于竖向有阻尼动力系数η2max,阻尼比ζ和固有周期Tn可取基组的竖向阻尼比ζz、固有周期Tnz;
2 对于水平回转耦合振动第一、第二振型有阻尼动力系数η1max、η2max,确定时,阻尼比ζ和固有周期Tn可分别取基组的水平回转耦合振动第一、第二振型阻尼比ζxф1、ζxф2、ζyθ1、ζyθ2和第一、第二振型固有周期Tn1、Tn2;
3 基组竖向、水平向和回转向扰力或扰力矩脉冲时间to宜取相同值。





本标准用词说明
1 为便于在执行本标准条文时区别对待,对要求严格程度不同的用词说明如下:
1)表示很严格,非这样做不可的:
正面词采用“必须”,反面词采用“严禁”;
2)表示严格,在正常情况下均应这样做的:
正面词采用“应”,反面词采用“不应”或“不得”;
3)表示允许稍有选择,在条件许可时首先应这样做的:
正面词采用“宜”,反面词采用“不宜”;
4)表示有选择,在一定条件下可以这样做的,采用“可”。
2 条文中指明应按其他有关标准执行的写法为:“应符合……的规定”或“应按……执行”。
引用标准名录
《木结构设计标准》GB 50005
《混凝土结构设计规范》GB 50010
《建筑地面设计规范》GB 50037
《地基动力特性测试规范》GB/T 50269
《工程隔振设计标准》GB 50463
《建筑工程容许振动标准》GB 50868
《建筑振动荷载标准》GB/T 51228
《工业用橡胶板》GB/T 5574
《耐热输送带》HG 2297
中华人民共和国国家标准
动力机器基础设计标准
GB 50040-2020
条文说明
编制说明
《动力机器基础设计标准》GB 50040-2020,经住房和城乡建设部2020年6月9日以第156号公告批准发布。
本标准是在《动力机器基础设计规范》GB 50040-96(以下简称“原规范”)的基础上而成,上一版主编单位是机械工业部设计研究院,参编单位是:中国寰球化学工程公司、电力部华北电力设计院、东风汽车公司工厂设计研究院、中国船舶总公司第九设计研究院、冶金工业部长沙黑色冶金矿山设计研究院、冶金工业部建筑研究总院、机械工业部第四设计研究院、机械工业部第一设计研究院、中国石油化工总公司北京设计院、化工部第二设计院、中国兵器工业第五设计研究院、福建省石油化工设计院、湖南大学、化工部第四设计院、吉林化学工业公司设计院、化工部第八设计院、河北省电力勘测设计院、电力部西南电力设计院、电力部电力建设研究所。主要起草人员是:刘纯康、杨文君、汤来苏、翟荣民、张大德、严竹平、李席珍、吴霞媛、王锡康、叶鹤秀、姜术、杨先健、王振坤、陈加叶、王瑞兰、刘传声、潘复兰、李静波、王贻荪、谢福辑、戴文斌、贺步学、张芳芑、罗国澍、高象波、马士法。
本标准过程中,修订组进行了广泛的调查研究,总结了我国工程建设的实践经验,同时参考了国外先进技术法规、技术标准,通过试验取得了大量极有价值的重要技术参数。
为便于广大设计、施工、科研、学校等单位有关人员在使用本标准时能正确理解和执行条文规定,《动力机器基础设计标准》编制组按章、节、条顺序编制了本标准的条文说明,对条文规定的目的、依据以及执行中需注意的有关事项进行了说明。但是本条文说明不具备与标准正文同等的法律效力,仅供使用者作为理解和把握标准规定的参考。
1 总则
1.0.1 本条阐明了本标准的指导思想。根据动力机器基础的特点,结合工程地质条件,合理地选择基础型式、地基的有关动力参数等进行设计,确保动力机器基础满足安全要求、性能要求、质量要求,保证设计技术先进、经济合理,并且满足环境要求。
1.0.2 本标准的适用范围为直接坐落在地基上非隔振的动力机器基础设计,不包含楼层(含基础底板)上的动力机器基础设计,隔振动力机器基础设计在现行国家标准《工程隔振设计标准》GB 50463中进行了规定。
本次按照机械运动方式调整了机器类型名称,并增加了振动台基础的内容。
2 术语和符号
2.1 术语
2.1.1~2.1.10 本节所列的术语均按现行国家标准《工程振动术语和符号标准》GB/T 51306、《工程结构设计基本术语标准》GB/T 50083的规定和本标准的专用名词编写。
2.2 符号
2.2.1~2.2.4 本节中采用的符号是按现行国家标准《工程振动术语和符号标准》GB/T 51306、《工程结构设计通用符号标准》GB/T 50132的规定,并结合本标准的特点编写的。
3 基本规定
3.1 一般规定
3.1.1 本条规定了设计动力机器基础应满足的性能要求。
动力机器基础的构件设计、地基承载力及变形验算、稳定及抗浮验算等,应根据现行国家标准的有关规定进行,包括国家现行标准《建筑地基基础设计规范》GB 50007、《混凝土结构设计规范》GB 50010、《建筑抗震设计规范》GB 50011及现行行业标准《建筑桩基技术规范》JGJ 94等。对于湿陷性黄土和膨胀土的地基处理,尚应按国家现行的有关标准、规范执行。
本标准规定了动力荷载作用下,基础振动及基底压力的性能验算要求。具体包括两部分内容:一是考虑了不同动力荷载作用下,采用不同的地基承载力折减,控制沉降比现行国家标准《建筑地基基础设计规范》GB 50007更严格;二是不同动力设备,采取专门动力响应指标控制振动响应,包括位移、速度、加速度等单项或多项指标,控制指标可分别采取峰值、均方根值等,充分体现动力及其基础的性能化设计。此外,机器动力荷载作用下,附近人员舒适度、精密设备性能要求等,均需要进行性能指标验算。
3.1.2 本条规定了设计动力机器基础型式确定依据。具体设计时,要取得以下基本设计资料:①机器的型号、转速、功率等;②机器质量及质心位置,包括附属设备及管道的质量和质心位置;③机器轮廓尺寸图及设备底座外廓图等;④机器的振动荷载及其作用点位置;⑤岩土工程勘察报告及地基动力特性试验报告;⑥工艺、建筑、结构、机电资料和布置图;⑦基础的位置及其邻近机器和建筑物的基础图;⑧灌浆层厚度、地脚螺栓和预埋件的位置及其他辅助设备、管道位置和坑、沟、孔洞尺寸等。
3.1.3 机器基础强调要避免产生有害沉降,即机器基础避免产生不均匀沉降以及过大沉降。不均匀沉降导致机器加工精度不能满足、机器转动时产生轴向颤动、主轴轴瓦磨损较大、影响机器寿命等,不均匀沉降以及过大沉降均可能引起管道变形过大而产生附加应力,甚至拉裂等情况。
3.1.5 对于建造在液化土、软土地基上的大型和重要的动力机器,包括1t及以上的锻锤基础,在过去的实践经验中,容易发生偏沉或沉降过大的问题。因此,应采用地基处理(如人工地基)或桩基础。
3.1.7 动力机器基础与建筑物的基础、上部结构以及混凝土地面宜分开,主要原因是避免机器基础振动直接影响到建筑物。
当工艺布置将机器设置在建筑物的柱子附近,其基础不得不与建筑物基础相连。一般情况下,机器基础与建筑物基础组成联合基础后,由于基础质量和地基刚度都有所增加,机器基础的振动幅值可能会减小,但基础振动可能会沿建筑结构构件传播到更远的地方,影响建筑的使用功能。因此无法设缝脱开的设备基础,需要进行有效的减隔振措施,以避免振动危害。
3.1.8 动力机器基础及毗邻建筑物基础,如能满足施工要求,两者的埋深可不置于同一标高上。所谓满足施工要求即开挖较深的基础槽时,放坡不影响浅基础的地基,以及对基底标高差异部分的回填土分层夯实等,一般要求压实系数不小于0.94,对于大型和重要的动力机器,压实系数不小于0.97。这主要考虑到基础底标高以下的地基土是影响基础正常使用的主要部分,不能扰动,以保证质量。
3.1.9 设备管道既是振动传播的路径,也可能是振动源,连接处应采用减振或隔振措施,可采用减振支架和软性连接等措施。
3.1.10 本条为强制性条文,必须严格执行。本条规定的目的是当动力机器基础的振动对人员健康、生产过程、仪器设备及建筑物产生有害影响时,应采用隔振措施降低动力机器的振动影响,否则会造成人员舒适度下降、无法正常工作,工业生产过程因振动超标导致次品率增加、产品不合格、被迫停产,附属操作设备振动过大无法正常使用,高昂价值的精密仪器设备无法正常使用等后果,甚至造成附属建筑结构因振动损伤、破坏,其经济损失、次生危害、社会影响等都较为严重。
3.2 材料及构造规定
3.2.1 考虑到振动影响,动力机器框架式基础宜采用现浇混凝土整体结构;装配整体式混凝土结构也有成熟的经验,可以推广应用。
3.2.3 本条对基组的总重心与基础底面形心之间的偏心值提出了要求,这是为了避免基础的不均匀沉陷,同时在基础振动计算时,可以不考虑其偏心影响。
3.2.4 一般情况下,机器底座下二次灌浆层厚度可达50mm~150mm,并且不配置钢筋,因此,需要采取至少高一级的微膨胀混凝土或灌浆料填充密实。
3.3 地基和基础计算规定
3.3.1 本条为强制性条文,必须严格执行。本条规定的目的是使动力机器基础底面的平均静压力不得大于地基承载力,否则会造成基础不均匀沉降,会造成上部动力机器及其附属构件破坏,甚至会造成严重的工程事故。
3.3.3 根据不同动力机器的特点规定了相应的地基承载力动力折减系数取值。
3.3.5 本条规定是针对动力机器基础设计的需要,将地基土的类别进行划分。
3.3.6 本条为强制性条文,必须严格执行。本条规定的目的是使动力机器基础的振动响应不超过容许振动标准,否则会造成动力机器振动过大、减少使用寿命、降低工作效率、被迫停止工作,造成设备附属管道和零部件损坏,会对操作人员舒适性造成不良影响,会对附属建筑结构造成损伤、破坏,甚至引发工程事故。
3.4 地基动力特性参数
Ⅰ 天然地基
3.4.1 天然地基和桩基的基本动力参数是随着地基土的性质和构造而变的,在实践过程中并不能普遍应用标准给出的抗压刚度系数,而应进行现场原位测定。因此,一般情况下,宜由现场测试确定。如设计者有经验,且又无条件做现场测试时,宜按本节采用。
3.4.2 此次保留了国家标准《动力机器基础设计规范》GB 50040-96的表格形式。
3.4.3 基础下地基土的影响深度按2b考虑。在动荷载作用下,地基土的受压面积随深度增加而增大,作用在单位面积上的动应力也随深度增加而减小,土层的动变位亦随之减小,根据实验结果,基础下深度大于2b的土层一般可以不考虑动应力的影响。
3.4.4 基础下影响深度范围内,由不同土层组成的地基土。其抗压刚度系数的计算公式是按影响深度范围内不同土层受单位动荷载后的总动变位推导而得。
3.4.5 本条规定了地基土抗剪、抗弯和抗扭刚度系数与抗压刚度系数的比例关系,这是根据我国大量实验资料统计得来的。
3.4.6 对于矩形基础底面,若基础底面x、y向边长分别为Lx、Ly,则Ix=LxLy3/12,Iy=LyLx3/12,Iz=Ix+Iy。
3.4.7、3.4.8、3.4.10 由测试和实测证明,基础埋深和刚性地面对地基刚度与阻尼比的提高有一定的作用。不考虑这两个作用是造成计算值和实测值相差悬殊的主要原因之一。为了安全起见,将埋深比δd限制在0.6以内,使刚度和阻尼比的提高有一定的限制。关于扭转刚度和扭转阻尼比,考虑到扭转振动时,回填土起着非均匀的抗压作用。这对刚度的提高更为明显,因此本标准按水平回转振动的提高系数考虑。
对于地面对地基刚度的提高作用,标准规定对于软弱地基其提高系数为1.4,对于其他地基应适当减小。这里的“相连”一般指地面地坪厚度为200mm及以上,沿基础周边尺寸大于1500mm,并设置构造钢筋(一般为φ8@200)与设备基础拉结。
3.4.9 天然地基阻尼比按基础的振型分别提出固定的数值,实际上阻尼比不仅与振型有关系,而且还与基础的质量比及土质有关,本标准提出的阻尼比计算公式,按不同土类进行分析统计并取其最低值而得,阻尼比取最低值是偏于安全的。
3.4.11 土的参振质量变化范围很大,约为基础本身质量的0.43倍~2.9倍,它与基础的质量比或底面积的关系都无明显的规律性。为了获得较为接近实际的基础固有频率,对于天然地基,本规范中的基础地基刚度和质量均不考虑参振质量,因此,表3.4.2中的抗压刚度系数Cz值是偏低的,至少比实际低43%,这样,虽然对计算基础的固有频率无影响,但使计算基础的振动位移至少要偏大43%,为此,本标准规定可将计算所得的竖向振动位移乘以0.7,而水平回转振动时的参振质量要比竖向振动—般要小20%,所以对水平向振动的计算振动位移则乘以0.85。
Ⅱ 桩基
3.4.12 钻孔灌注桩及其他桩型的动力参数宜由现场测试确定。本标准第3.4.13条~第3.4.22条规定的内容,其经验参数值都是基于预制桩和沉管灌注桩且桩距为桩径4倍~5倍时的测试成果,因此本条明确规定本标准第3.4.13条~第3.4.22条适用的桩型为预制桩或沉管灌注桩。对于钻孔灌注桩及其他桩型,目前尚未积累足够的经验参数值可直接采用,所以本条规定钻孔灌注桩及其他桩型的动力参数宜由现场测试确定。
3.4.13~3.4.17 桩基的抗剪和抗扭刚度Kpx、Kpy、Kpψ可采用天然地基抗剪和抗扭刚度的1.4倍,这是由于近年来在软土地基对摩擦桩基动力测试中累积数据分析得出的结论。但是对于地质条件较好,特别是半支承或支承桩,在打桩过程中贯入度较小,每锤击一次,桩本身产生水平摇摆运动,致使桩顶部四周与土脱空,这样就将大大降低桩基的抗剪刚度。例如,在南京、北京、合肥等地,其地质情况是:上部为黏土,其地基承载力为180kPa~250kPa,下部土层为风化岩或碎石类土,桩基测试结果表明,其抗剪刚度要比天然地基试块的抗剪刚度低7%~42%。因此,标准中特别规定端承桩或桩上部土层的地基承载力标准值fk≥200kPa的桩基,其抗剪刚度不应大于天然地基的抗剪刚度Kx(此处天然地基刚度计算时按基底面积大于20m2工况确定)。而且在软土地基的桩基,虽然其抗剪刚度是大于天然地基的抗剪刚度,但经过使用一段时间,桩基承台底面有可能与地基土脱空,仅由桩来支承,此时,桩基抗剪刚度将会大大降低。因此,只能考虑桩本身的抗剪刚度,这要通过现场测试来确定。
3.4.18 由于直桩桩基的抗剪刚度与天然地基的抗剪刚度之比采用1.4倍,因此斜桩桩基的抗剪刚度与天然地基的抗剪刚度之比采用1.6倍。天然地基刚度取值与本标准第3.4.6条相同。
3.4.21 桩基的阻尼比计算公式,是根据现场桩基动力性能测试数据统计分析而得。
3.4.22 标准中考虑了桩基承台埋深对阻尼比的提高作用,公式中的提高系数是使承台埋深作用的计算值与天然地基基础埋深作用的计算值一致。
4 旋转式机器基础
Ⅰ 一般规定
本节适用于工作转速在1000r/min~3600r/min之间的汽轮机组基础、燃气轮机组基础设计。本章内容均针对中等转速的旋转式机器基础,不包括低转速机器基础。高位布置的燃气轮机组基础采用框架式基础,工程实践经验及理论分析均表明,本节规定同样适用于这个转速范围内的燃气轮机组基础、调相机等。
汽轮机组基础设计时,除了具备基本设计资料外,尚应取得下列资料:①机器质量的分布、转子质量;②机器旋转时产生的扰力分布、额定转矩;③冷却器、油箱等辅助设备及管道荷载;④短路力矩、凝汽器真空吸力、汽缸温度膨胀力和安装荷载;⑤机器轴系的临界转速;⑥热力管道位置及其隔热层外表面的温度值。
4.1 汽轮发电机组基础
4.1.1 预应力框架式基础目前在国内外实际工程中极少使用,所以本条取消了预应力结构的形式。
4.1.2 汽轮发电机基础是一个复杂的空间框架结构、无限多自由度的振动体系,如何改善基础的动力性能是一个十分重要的问题。通过对300MW、600MW、1000MW等级汽轮发电机基础的实测、模型试验及优化设计研究,结果表明:基础的顶板、柱子的质量、刚度搭配合理,就可得到较有利的振型,使体系在计算控制范围内的参振质量增大,从而可使有扰力作用点的振动响应大为减小。根据上述分析规定了汽轮发电机框架式基础的结构选型原则。
Ⅱ 振动计算
4.1.4 本条振动响应计算包括振动位移和速度,不包括动内力。计算振动响应时所取共振区范围,标准规定取在工作转速±25%范围内,主要是考虑到集中质量的空间杆系模型有一定简化,取较大的范围区间相对较为安全。国外所取的计算范围虽然有所差异,但都小于±25%。因此,共振区范围可以根据计算模型精度进行调整,采用精度较高的有限元计算模型时,计算范围宜取工作转速-10%~15%。
4.1.5 双自由度的计算方法有其简单的优点,多年的实践也证明按此方法设计的基础一般未发现过大的振动,因此,本次修订仍保留双自由度体系的简化计算方法。
4.1.6 地基的弹性对框架式基础的振动有一定影响,对机器转速为1000r/min及以下的基础影响较大,对转速频率高的机器影响较小。因此,规定对3000r/min机器的基础一般可不考虑地基弹性的影响,对工作转速为1500r/min及以下的机器基础则宜考虑其影响。
Ⅲ 承载力验算
4.1.10~4.1.18 这几条对动内力计算分别规定为:
(1)可按空间多自由度体系直接计算构件的动内力;
(2)亦可将机器的动力荷载化为静力当量荷载按条文规定进行简化计算;
(3)对于不进行动力计算的基础,其静力当量荷载可直接按条文中列出的数值取用。
条文中采用的简化计算方法,除以基本振型计算动内力外,对顶板的纵、横梁补充了考虑高振型影响时动内力的计算方法,这样就与基础实际的振动情况较接近,并使构件有足够的安全度。
旋转式机器动力基础的振动荷载具有频率高、持续时间长、动内力占比小等特点,计算振动位移时扰力按现行国家标准《建筑振动荷载标准》GB/T 51228的规定采用,计算动内力时扰力值放大到其4倍。对于动力基础混凝土构件疲劳验算,采取再放大1倍动扰力计算动内力、验算承载力的方法,考虑材料疲劳影响,基于几十年的工程实践证明是安全可靠的。
Ⅳ 构造要求
4.1.24 汽轮发电机框架式基础底板厚度增减在一定程度上对基础顶板的振动性能影响不大,主要是决定于静力方面的要求,基础底板的作用是一方面将上部荷载能较均匀地分布到地基上去和将柱脚固定,使之与计算假定一致,同时应具有足够的刚度以减少差异沉降。原规范规定基础底板厚度为长度的1/15~1/20,这样规定不太适应当前技术发展诉求,一方面相同容量的机组缸体数量不同长度差异较大,另一方面没有反映减少相邻轴承之间的差异变形要求。因此,调查了大量实际工程,改为采用相邻柱之间最大净距的1/5~1/3.5来确定底板厚度,地基条件相对较好时取小值,地基条件较差时取大值。一般情况下,底板厚度不应小于柱截面的边长;特殊情况下,基础个别柱由于布置原因导致截面较大,此时,了解底板抗弯刚度对柱抗弯刚度的比不小于2时可以保证柱脚的固定。
4.1.25 对于高压缩性土,压缩模量较低,一般情况下宜采用人工地基,同时基础底板亦应有一定刚度。对于中压缩性土,其压缩系数变化范围较大,应根据工程具体情况,采取加大底板面积,改变设备安装顺序,使地基预压或采用人工地基以减少基础不均匀沉降。
4.1.28 底板混凝土在施工过程中,由于地基对混凝土温度收缩的约束,在板内产生很大拉应力。当拉应力超过混凝土抗拉设计强度时,便会出现裂缝。当基础底板设置在碎石土及风化基岩上时,底板下宜加设滑动隔离层。
4.2 旋转式压缩机基础
Ⅰ 一般规定
本节适用于工作转速大于3000r/min的旋转式压缩机基础的设计。本节的条文都是建立在对机器工作转速大于3000r/min的旋转式压缩机和部分汽轮鼓风机、发电机基础等的工程实例、测振资料及参考文献的研究分析的基础上制定的,故不适用于下列基础:
(1)旋转式压缩机当采用大块式或墙式基础时,其振动荷载应按现行国家标准《建筑振动荷载标准》GB/T 51228第4.2节确定,动力计算和构造可按本标准第5章的规定采用;
(2)往复式压缩机、容积式压缩机(包括螺杆式及滑片式压缩机)的大块式或墙式基础,可按本标准第5章的规定采用;
(3)工作转速等于或小于3000r/min的旋转式压缩机基础,当采用框架式基础时,可按本标准第4.1节的规定采用;
(4)钢结构基础:国外已有应用,国内尚无实践经验。
旋转式压缩机基础设计时,除了具备基本设计资料外,尚需要由压缩机制造厂提供有关压缩机性能的技术数据和资料,这是设计压缩机基础的基本依据,包括:①压缩机组各转动部件的质量、质心位置及固定方式;②压缩机组各转动部件在正常工作状态下所产生扰力的数值、方向、作用点及相对应的扰频;③同步电机的短路力矩及其作用点;④凝汽器的真空吸力及其作用点(仅适用于蒸汽透平压缩机);⑤压缩机基础上各部位的安装荷载及操作荷载;⑥压缩机基础模板图,包括各部件几何尺寸、沟槽、孔洞、地脚螺栓和预埋件的尺寸和位置;⑦二次灌浆层的厚度、范围及材料等要求;⑧对压缩机基础振动、沉降及倾斜的特殊要求。
设计入员得到压缩机组条件后,首先要判断条件的完整性及合理性,并与制造厂或工艺专业密切配合解决有关问题,包括:①机器的名称和转速:离心式压缩机组通常由多台机器组成,包括蒸汽机、电动机、压缩机、膨胀机、发电机等,一般布置在同一根轴线上;若原动机是电动机,其转速一般为1500r/min或3000r/min,当带动高转速的压缩机时,一定要配置变速箱,此时,变速箱两侧的机器会分别布置在两根轴线上,并工作在不同的转速下;②逐台确认各机器、各转动部件的质量及其质心位置是否齐全;③对于厂家提供的扰力数据,设计人员应结合工程经验做必要分析,或可用现行国家标准《建筑振动荷载标准》GB/T 51228提供的计算公式校核扰力的数值、方向、作用点是否合理;④厂家若对基础的容许振动有特殊要求时,应与现行国家标准《建筑工程容许振动标准》GB 50868规定的容许值进行比较,并分析其合理性。当厂家的要求过于严苛,基础设计很难满足时,应与厂家进行必要的协商。
4.2.1 当厂房内设有往复式机器或其他低频振动的机器与旋转式压缩机同时工作时,在机器的布置上,需考虑到往复式机器基础或其他低频机器基础振动对旋转式压缩机基础的不利影响。
4.2.2 本条强调压缩机基础的设计应根据地基土的物理特性确定地基方案和基础形式,力求避免基础产生有害的沉降和倾斜。因机器的主轴为多点支承在轴承上,对基础的沉降和偏沉比较敏感,与机器连接的高压管件由此将产生附加应力。基础的沉降和偏沉值一般不易得到精确的计算结果,因此,在设计时应认真研究确定地基处理方案。计算基础沉降时可仅考虑永久荷载。
4.2.3 压缩机基础一般应与建筑物基础分离,其原因之一是考虑到动力基础的振动能量经常不断地影响厂房基础及厂房结构,使厂房结构产生附力口应力,降低厂房结构的安全储备;其二是压缩机基础与厂房基础的荷载相差悬殊,从而产生不均匀沉降而相互影响;其三是为使压缩机基础受力明确。要求压缩机基础与相邻的厂房操作平台脱开,旨在减少压缩机振动对厂房结构和仪表的影响。
4.2.4 由于辅助设备安放于楼层与底层之间,故旋转式压缩机基础一般设计成独立的空间框架式结构,它占地面积少,构件尺寸经济、安全,利于设备管道的安装、操作和检修。框架式结构顶板应有足够的质量和刚度;当满足承载力和稳定性的要求时,宜通过优化柱截面尺寸调整基础动力特性;底板的尺寸应根据构造要求和地基土的性质确定,并应具有足够的刚度。在计算时可简化为嵌固于底板上的框架式结构,由顶板(横梁、纵梁)及柱子、底板组成正交结构体系。它与软件的计算假定比较接近,而且基础各构件受力简单明确,故目前仍采用空间正交框架的动力分析程序。这种结构形式可通过改变构件的截面尺寸,主要是柱子尺寸,调整基础的自频来得到良好的动力特性。框架式基础设计时,构件尺寸的确定十分重要,顶板宜厚,柱子宜柔,底板宜刚,以达到优化设计的目的。
4.2.6 基础可不做动力计算的条件是在保证机组正常运转的条件下,结合多年来的设计施工、实测和研究的经验而制定的。
Ⅱ 振动计算
4.2.7 理论分析框架式压缩机基则是一个无限自由度的空间结构,采用空间多自由度体系分析,从计算简图和理论研究观察比较接近基础的理想振动状态。
但是由于存在着许多参数的不准确性、假设的差异性,使得理想的数学模型和精确运算结果最终仍未能反映实际。具体表现在扰力的取值、荷载分布的任意性,忽略了机座、机壳和管道的刚度(实际上它们与基础共同整体工作),强劲的顶板计算中未按深梁考虑,机器的主轴并非刚性,混凝土的动弹性模量与静弹性模量的差异,以及阻尼随频率变化等因素。
即使存在上述问题,但空间多自由度计算在理论方面仍能够比较逻辑地分析基础振动模式。由于在计算时考虑了机器工作转速±25%范围内的扫频计算,即对工作转速±25%以内的自频做共振计算,并将所得的最大振幅作为计算振幅,一般计算值均大于实测值,可满足工程要求。
地基的弹性对框架式基础的振动有一定的影响,其影响是降低了基础的自频。对低频机器基础(例如转速在1000r/min及以下)影响较大,对高频机器基础影响较小,使基础自频远离于机器工作转速,其结果是偏安全的。为减少计算工作量,故可不考虑地基弹性的影响。
因混凝土的弹性模量对结构自频影响较小,故在动力计算时可不考虑其受动态的影响,按混凝土强度等级查有关钢筋混凝土的规定即可。
在动力计算中采用了振型分解法求解,阻尼系数采用E.C.索罗金滞变阻尼理论,为了使各个振型能完全分解,对于钢筋混凝土框架式基础取阻尼比为一常数,即0.0625。
4.2.8 本条规定针对基础承受多组不同频率的扰力作用时,计算x、y、z三个方向总振动速度的组合原则。
旋转式压缩机组一般有多组不同频率的扰力同时作用在基础上,这些不同频率的扰力值和相位都是随机量。所计算的这些扰力值均为压缩机在正常运行状态时最大的扰力值。从概率分析,各扰力同时达到最大值的概率是极小的。而且,扰力的相位是随机的,各扰力的方向完全相同的概率也是极少的。假定扰力值在一定区间内发生变化,相位在0°~360°之间变化,根据概率理论分析,比较可能出现的最大动位移(即这些扰力产生的动位移幅值)是平方和的平方根。
Ⅲ 承载力验算
4.2.10 本条为进行承载力计算时荷载标准值及荷载分项系数的确定原则。
为保证压缩机基础的安全使用,适当地提高基础的安全度,根据国外工程公司提供的荷载条件要求,在进行框架式结构的承载力计算时,要求将安装在基础上的机组、辅助设备及管道等重量的荷载分项系数取为1.5。
操作活荷载和安装活荷载应由工艺专业提出,也可按本标准给出的数值或按照现行行业标准《化工、石化建(构)筑物荷载设计规定》HG/T 20674确定。
凝汽器的真空吸力是由于凝汽器内蒸汽的冷凝形成真空,与大气间产生压差所致。当凝汽器与汽轮机为柔性连接时(用波纹管或其他形式的补偿器),该力以拉力作用于压缩机基础上;若为刚性连接时,真空吸力则形成为系统的内力,不作用于基础上。真空吸力仅存在于冷凝式汽轮机或中间抽汽式汽轮机作驱动机且凝汽器与汽轮机为柔性连接时,仅用于压缩机基础的承载力计算。
若旋转式压缩机由同步电机驱动,当同步电机突然短路时,由于定子与转子之间的相互作用会产生短路力矩。该荷载为偶然荷载,其动力系数μ=2,将短路力矩乘以动力系数,即简化为静力荷载。短路力矩应由制造厂提供,或可按本标准的公式计算。
在做基础的承载力计算时,除上述静力荷载外,尚应考虑动力荷载的作用。该荷载是由转子不平衡所产生的扰力引起的,又称为当量静力荷载。现有的一些资料中,当量静力荷载计算的表达形式大致相同,一般是将转子的不平衡扰力乘以疲劳系数和动力系数,将它转化为一个等效静力荷载,但其中系数的取值差异较大,其表达式为:
N=ηrF (1)
式中:N——当量静力荷载;
η——动力放大系数;
r—一疲劳系数;
F——扰力。
4.2.11 按空间多自由度体系计算,当其一方向的主振型出现时,其他两个方向的分量一般都很小,而其动荷载已将正常运行时的扰力增大了,已有较大的安全储备。因此,当一个方向取最大动荷载时,其他方向的分量可以略去,无论竖向、横向、纵向都可以不进行叠加组合,即各项的当量静力荷载只考虑单向作用。
偶然组合时的短路力矩、地震组合时地震作用的出现是以正常运行为标准的,而动力荷载是以压缩机极限不平衡为标准计算出来的,较正常运行不平衡增大了,故将当量静力荷载乘以1/4的荷载组合值系数。
Ⅳ 构造要求
4.2.12 为使结构简单施工方便,基础底板宜采用矩形平板,但不排除为支承其附属设备而使底板局部突出的情况。根据基础的具体情况,经方案比较,认为采用梁板式或井式板具有明显的优越性时仍可采用,所以本标准中没有对这两种形式加以排除和限制。
规定底板最小厚度的目的是保证底板具有一定的刚度以减小基础不均匀沉降和降低基础顶板的振动,德国动力设备基础设计标准DIN4024.1要求旋转式压缩机框架式基础底板厚度约为底板长度的1/10。近年来,石油化工行业的生产能力不断增大,压缩机组的规模、体积、重量也大为增加,另外,目前压缩机组趋向于用一台原动机带动压缩机、电动机、膨胀机等多台机器,这样基础底板的纵向尺寸也会增大。故本标准对底板厚度的限制稍有放宽,取底板长度1/10~1/12,经工程实践检验,也能达到足够的刚度。当底板的厚度设计得太薄时,则会导致刚度不足。
关于柱子截面,考虑此类机组的机器自重、转子重、转速的变化范围较大,故没有规定柱子截面的上限。但从基础的动力特性来看,加大柱子截面不一定有利,柱子柔一些反而对减小上部振动有利,所以基础设计者应该明确:在满足强度、稳定性要求的前提下,宜适当减少柱子刚度,设计成柔性柱。
基础顶板应有足够的刚度和质量,厚度不宜小于其净跨度的1/4~1/5。
总之,对于此类压缩机基础设计的底板、柱、顶板的截面尺寸,其要点是使压缩机基础的动力特性适应压缩机较高的工作转速。
4.2.13 通过大量工程实例分析,根据多年工程实践统计和现行国家标准《混凝土结构设计规范》GB 50010和《建筑抗震设计规范》GB 50011的构造要求,本条文给出了底板、柱、顶板的配筋要求,具体设计时配筋率大小应综合考虑振动荷载、地震作用以及板厚比等因素确定。
顶板中的暗梁或明梁与柱子构成纵、横向框架,由于扰力值及其方向是随机的。因此,框架梁截面应上、下对称配筋,并需具有可靠的锚固长度。
采取各种措施固定顶板上的螺栓或螺栓套管,使其位置准确,不致施工时因振捣混凝土造成移位,是压缩机安装的必要条件。顶板中的钢筋、螺栓或螺栓套管的直径都比较大,且纵横交错,应在设计中精确放样,避免施工困难。
4.3 电机基础
本节适用于工作转速在1000r/min及以下的低转速电机基础的设计。电机基础设计时,可按本标准第4.1节条文说明,确定取得设备相关资料。
4.3.2、4.3.3 考虑到工作转速为1000r/min及以下的电机基础总是横向水平振动大于竖向振动,因此,只需验算基础的水平振动位移。公式(4.3.2-1)~公式(4.3.2-10)、公式(4.3.3-1)~公式(4.3.3-10)是简化计算公式,它忽略了基础框架的弹性中心与上部顶板质量中心的偏差,即假定框架的弹性中心与顶板质量中心在同一条水平线上。因此,水平与扭转振动就不是耦合的,可以分别按单自由度体系计算其振动位移,然后再进行叠加。
水平振动计算的基本假定为:
(1)地基只有弹性而无惯性;
(2)底板无惯性亦无弹性;
(3)质量集中于顶板,顶板在水平横向为刚性;
(4)水平扰力作用于基础顶板,忽略轴承座高度。
计算模型相当于一个集中质量和三个串联弹簧,即地基抗剪弹簧、抗弯弹簧和框架抗侧移弹簧。
5 往复式机器基础
5.1 一般规定
本章适用于往复式机器基础的设计,其他类似机器采用大块式或墙式基础设计时,亦可参照执行。往复式机器基础设计时,除了具备基本设计资料外,还应取得下列资料:①机组的振动荷载,应包括由机器各列曲柄-连杆-活塞机构运动所产生的一谐、二谐竖向扰力Fvz、水平扰力Fvx、绕z轴的扭转力矩Mψ、绕x轴的回转力矩Mθ,及振动荷载作用点位置;②基础模板图,应包括各部件几何尺寸、沟槽、孔洞、地脚螺栓和预埋件的尺寸和位置;③二次灌浆层的厚度、范围及材料要求;④对基础振动、沉降及倾斜的特殊要求;⑤临近机器或设施的基础、平台、仪表、地沟的布置图。
其中机器的振动荷载应由制造厂提供,若制造厂不能提供,则应按照现行国家标准《建筑振动荷载标准》GB/T 51228-2017第5章的相关规定计算。往复式机器的扰力主要是各列气缸往复运动质量惯性力之和,各分扰力向曲轴上气缸布置中心C点(C点也是机器扰力作用点)平移时形成扰力矩。不同类型机器的扰力(矩)特点是不同的,依不同的气缸方向而定,立式机器以Fvz、Mθ为主,卧式机器以Fvx、Mψ为主,对称平衡型机器由于各列气缸水平扰力相瓦抵消,仅余下扭转力矩Mψ,L型、V型、W型机器以Fvz、Fvx为主。
5.1.2 往复式机器基础应采用整体性较好的钢筋混凝土结构,而且动力计算采用单质点模式并要求基组是刚体。因此,当机器安装在厂房底层时,一般做成高出地面的大块式基础;当机器安装在厂房的二层标高时,则做成墙式基础,但要满足第5.3节中的构造要求。
往复式机器因转速较低,一般设计时把基础和刚性地坪相连,可提高地基刚度和机组自振频率,以减少振动位移。
5.1.3 本条要求的容许振动值根据现行国家标准《建筑工程容许振动标准》GB 50868的规定确定,沉降和倾斜容许值根据国家现行标准《建筑地基基础设计规范》GB 50007、《建筑桩基技术规范》JGJ 94的规定确定。
5.1.4 工程设计中经常遇到中、小型往复式机器,根据实践经验综合分析,提出不做动力计算的界限,以便设计入员使用。
小型机器一般为立式、L型、W型,其转速较高且基础较小,扰力也较小,一般情况下采用机器制造厂提供的基础尺寸均能满足振动要求。本标准还提出对基础质量和底面静压力的要求,一方面保证基础的稳定,另一方面控制底板面积;当机器转速较高,地基刚度较低时,后一条要求对于避开共振区尤为必要。
对称平衡型机器一般由两列、四列或六列气缸组成,水平扰力相互抵消,一般以一谐扭转力矩为主,且转速相对较低(一般小于500r/min),这类基础多为墙式且底板尺寸较大,故不易发生共振,且振动相对比较平稳。但应注意,对置式机器并不属于对称平衡型,仍存在较大的二谐扰力,在软弱地基上较易发生共振,应慎重对待。
5.2 振动计算
5.2.1 机器坐标系CXYZ中原点C即为机器扰力作用点。基组坐标系Oxyz中的原点O取基组总重心,坐标轴方向与机器坐标相同。C点对O点一般均有一定的偏心ex、ey、h0+h1。基组动力计算时,各公式推导均对Oxyz坐标而言,因而作用于C点的Fvz、Fvx在振动计算中均先平移至重心O,对于水平回转耦合振动,由于采用振型分解法计算,水平扰力直接平移至各振型的转心Oф1、Oф2、Oθ1、Oθ2。
5.2.2~5.2.4 基组为机器、基础及基础底板上的回填土的总称。基组的振动模式采用质点-弹簧-阻尼器体系,由于考虑了阻尼因素,因而计算结果比较符合实测值,同时还可以解决共振区的计算问题,使基础设计更趋经济合理。
基组作为单质点刚体,有六个自由度,其振动可分为竖向、扭转、水平和回转四种形式。当基组总重心与基础底面形心位于同一铅垂线上时,基组的竖向振动和扭转振动是独立的,而水平和回转运动则耦合在一起。
第5.2.2条~第5.2.4条分别给出了上述四种基组振动形式的计算方法。基组在通过其重心的竖向扰力Fvz作用下,产生沿z轴的竖向振动。基组在绕z轴的扭转力矩Mψ和沿y轴向偏心的水平扰力Fvx作用下,产生绕z轴的扭转振动(图5.2.2)。基组在水平扰力Fvx和沿x轴向偏心的竖向扰力Fvz作用下,产生沿x轴水平、绕y轴回转的x-ф向耦合振动(图5.2.3)。基组在绕x轴的网转力矩Mθ和沿y轴向偏心的竖向扰力Fvz作用下,产生沿y轴水平、绕x轴回转的y-θ向耦合振动(图5.2.4)。
一般一台机器同时存在几种扰力和扰力矩,计算基础顶面控制点的振动位移和速度幅值时,应分别计算各扰力和扰力矩作用下的振动计算值。当机器存在一、二谐扰力(矩)时,需分别进行振动位移和速度计算,然后按本标准第5.2.5条的公式进行叠加,并核算是否满足现行国家标准《建筑工程容许振动标准》GB 50868-2013第5章规定的振动容许值。
基组在通过其重心的竖扰力作用下产生竖向振动,通过建立运动微分方程求得基组竖向振动固有圆频率ωnz和基础顶面控制点竖向线位移幅值uzz(基组各点的竖向线位移幅值均相同)的计算公式。式中地基动力计算参数Kz和ζz可根据现行国家标准《地基动力特性测试规范》GB/T 50269由场地试验块体基础实测来确定,也可由本标准第3章求得。这些参数一般很难取准,可根据机器的扰力频率,按偏于安全的要求来选取。
扭转振动是在扭转力矩作用下发生的,总扭转力矩除包含机器的扭转力矩Mψ外,还包括水平扰力Fvx向基组总重心O点平移形成的扭转力矩。基础顶面控制点一般指基础顶面角点B,该点水平扭转线位移最大,表示为x、y向两个分量。
水平回转耦合振动为双自由度体系振动。第一振型为绕转心Oф1或Oθ1网转,第二振型为绕转心Oф2或Oθ2回转,通过建立运动微分方程求得基组水平回转耦合振动第一、第二振型的固有圆频率ωnф1、ωnф2或ωnθ1、ωnθ2和基础顶面控制点B的竖向、水平振动位移幅值。
值得注意的是,基组存在两个方向的水平回转耦合振动。一个是机器的水平扰力Fvx向转心Oф1、Oф2平移和机器竖向扰力Fvz沿x向的偏心组成的总扰力矩Mф1、Mф2,激发了基组x向水平、绕y轴回转的x-ф向耦合振动。第二个是机器的同转力矩Mθ和竖向扰力Fvz沿y向的偏心组成的总扰力矩Mθ1、Mθ2,激发了基组y向水平、绕x轴回转的y-θ向耦合振动。这两个方向的水平回转耦合振动计算公式在形式上完全相同,但是所有的参数,包括地基参数、基组转动惯量、基组固有圆频率、转动中心至基组重心的距离等均需要根据基组两个方向尺寸分别计算。在国家标准《动力机器基础设计规范》GB 50040-96中对这两个方向的耦合振动计算公式中的参数定义得不够明确,在本版中给予了细化。
基组的上述四种振动形式都可能会产生不止—个方向的线位移和振动速度。在同—组、同—谐的扰力(矩)作用下,四种振动形式沿x轴、y轴、z轴分别产生的振动可沿轴线直接叠加。对不同组、不同谐的扰力(矩)产生的振动则应按照本标准第5.2.5条提供的公式取平方和的平方根做叠加。
在基组动力计算时,正确确定地基方案,选择地基参数,确定基础尺寸和埋深是十分重要的。有时可能要进行反复试算,使基组振动的固有圆频率尽量远离扰频,使计算位移幅值尽量减小。
天然地基上基组的振动质量m可不考虑基底土的参振部分,按式(5.2.1-3)计算,而参振土对振动的影响则是按照本标准第3.4.11条将计算所得的振动位移乘以某一折减系数来实现。对于桩基础,其振动质量mp则应包括桩和桩间土的参振质量,按照本标准第3章的相关公式计算。
5.2.5 基组顶面控制点的总位移峰值u取一、二谐扰力(矩)作用下的总线位移的平方和的平方根,此叠加公式比各线位移分量绝对值之和更接近实际。因为各谐扰力、各类扰力均存在相位差,计算出来的位移也相应存在相位差,且由于地基阻尼比不易准确计算,因而计算各分量的矢量和就很困难。本标准采用的叠加公式比较简单又比较符合实际。
5.2.6 工程实践中,大型动力机器基础的底面积经常受到限制,也常遇到地基承载力较低或容许振动位移值较苛刻的情况,此时采用联合基础则是一个有效的处理方法。本标准采用的联合基础按刚体进行整体计算的办法,是根据模拟基础系列试验和实体基础实测数据,结合理论分析得出的。
联合基础一般只取2台~3台机器联合,机器过多、底板过长均会带来不利影响。工程上的联合型式常用竖向型和水平并联型。对于卧式机器,在有条件时(工艺配管专业配合),应优先采用水平串联型,即沿活塞运动方向的联合,可大大提高基础底面的抗弯惯性矩,从而较大提高地基抗弯刚度,以提高联合基础的振动固有圆频率和降低其振幅。
本条规定了联合基础按刚性整体计算的条件:条件一是底板的厚度hd应满足刚度要求,条件二是对扰频的限制,条件三是限制底板厚度hd与基础总高度的比值。
基础联合后,可使基础主要振动方向的固有振动圆频率有一定的提高,其中水平串联型提高较多。上述条件二的限制原闲是:当扰频ω≤1.3ω'nz或ω≤1.3ω'nф1时,基础联合后的固有频率提高,便远离共振区,将达到减小振动幅值的目的;反之,若扰频ω>1.3ω'nz或ω>1.3ω'nф1时,基础联合后的固有自频提高,将可能靠近或落入共振区,并不能减小振动。
5.3 构造要求
5.3.1 由底板、纵横墙和顶板组成的墙式基础,各部分尺寸除满足设备安装要求外,主要以保证基础整体刚度为原则,各构件之间的联结尤为重要。基础顶板厚度一般是指局部悬臂板厚度,可按固有频率计算防止共振来确定。控制最小厚度和最大悬臂长度以保证动荷载下的强度要求。机身部分和气缸部分墙厚的规定是根据工程实践总结并考虑机身部分墙体大多为封闭型,气缸部分墙体一般为悬臂进行调整而得。基底悬臂长度的规定是根据模拟基础试验和理论上定性分析得出,以保证基础顶面和底板悬臂端点的振动幅值和相位基本满足刚体要求。
目前,国外规范规定,大块式基础的宽度不宜低于机器中心线至块体基础底面高度的1.5倍;厚度不宜低于短边宽度的1/5、长边长度的1/10、0.6m三者中的较大值,或是取厚度不低于长边长度的1/30+0.6m。
5.3.2 大块式和墙式基础计算模式为刚体,基础各部分之间基本上没有相对变形,因而一般不必进行承载力计算。曾经对某厂红旗牌压缩机装配式基础表面钢筋测定所得应力仅为0.7MPa~1.4MPa,也证实了基础表面钢筋基本是不受力的。对块体基础配置表面钢筋,目的是防止施工时混凝土水化热形成内外温差,导致温度裂缝。表面钢筋要求细而密,以利于阻止裂缝的扩展。底板悬臂部分有局部变形,配筋应按强度计算确定。顶板采用梁板结构时,也要考虑强度问题。
6 冲击式机器基础
6.1 锻锤基础
Ⅰ 一般规定
本节适用于落下部分公称质量不大于25t缎锤不隔振时的基础设计。本节将锻锤基础设计的适用范围限制在缎锤落下部分公称质量为25t及以下,迄今为止我国制造的最大吨位锻锤为20t,国际上最大吨位锻锤为25t。
锻锤基础设计时,除了具备基本设计资料外,还应取得下列资料:①落下部分公称质量及实际质量;②砧座及锤架质量;③砧座高度、底面尺寸及砧座顶面对本车间地面的相对标高;④锤架底面尺寸及地脚螺栓的形式、直径、长度和位置;⑤落下部分的最大速度或最大行程、汽缸内径、最大进气压力或最大打击能量;⑥单臂锤锤架的重心位置。
6.1.1 鉴于近年来德国等国家对锻锤砧座隔振基础的应用已较普遍,国内亦已在逐步推广采用。而以往使用的隔振锤基均为锻锤基础下隔振的基础,也即将隔振器置于基础块的下面,外面尚有钢筋混凝土基坑用于支承和维修隔振器,占地面积大、埋深较深,土建施工时需先做基坑再捣基础块,然后将基础块顶起来,在基础下面放置隔振器。因此,施工周期很长,造价较高。随着技术的进步,人们发现如将隔振器直接置于锻锤砧座下面,不但隔振效果显著,且隔振后的锤基底面尺寸及埋深可以比不隔振的锤基还要小,施工进度与不隔振锤基相同,造价也不比不隔振锤基高,还可以节约车间布置面积,减少振动对厂房及周围环境的影响,改善操作人员的工作条件。
6.1.2 砧座下木垫的主要作用是使砧座传下的静压力和冲击力能均匀地作用在基础上,同时可缓冲锤击时的振动影响,保护基础混凝土面免受损伤,且便于调整砧座的水平度以保证锻锤的正常工作。因此,要求木垫有一定的弹性压缩,并且在长期的冲击荷重作用下,只能有较小的变形。对木垫的具体要求是:材质坚韧,受压强度适中,材质均匀,耐久性好,无节疤、腐朽,干缩、翘曲开裂等均较少。根据这些原则,本条规定了木垫选用的树种及含水率,这是经过大量试验研究确定的。关于橡胶垫作为砧座垫层材料,已在国内使用多年,效果良好,但只限于5t及以下的锻锤使用。
Ⅱ 振动计算
6.1.3 本条规定了锻锤基础的竖向振动位移和振动加速度的计算方法。公式(6.1.3-1)是根据单自由度体系建立运动微分方程和物体碰撞原理而得。但考虑到锻锤基础振动位移和固有频率的计算和实测值之间的差异,需要进行修正。修正的原因是多方面的,有由于基础埋深增加了侧面刚度而使地基刚度作必要的修正,有由于土参加振动而在基础质量方面有所修正,有由于阻尼影响的修正等。为此公式中给出了ημ即振动位移调整系数和ηλ即频率调整系数,其值是根据28个大于1t的锤基础和64个1t及以下的锤基础实测数据进行分析统计整理而得。冲击回弹影响系数是按下式求得的:

式中:e——回弹系数;对模锻锤:当模锻钢制品时取0.56,模锻有色金属制品时取0.1;对自由锻锤取0.25。
6.1.7 根据对锻锤基础实测资料的分析,当一般单臂锤锤击中心对准基底形心时,其总重心与锤击中心间的偏心值均小于该偏离方向基础边长的5%。如按中心打击公式计算所得之竖向振动位移乘以系数(1+3.0eh/bh)后的值,绝大部分符合按竖向-回转公式所得的基础边缘竖向振动位移(因相对偏心距eh/bh≤5%,水平振动影响微小,可忽略不计)。
6.1.9 本条给出了砧座下垫层最小厚度的计算公式。除了计算垫层的最小厚度之外,尚需满足表6.1.9中规定的垫层最小厚度。对橡胶垫,表中所规定的运输胶带的厚度是由实际生产使用中的经验和实测分析结果所确定的。在实际生产中用运输胶带作为橡胶垫的最大吨位为3t自由锻,考虑5t锤的打击能量与3t自由锻相差不大,因此,在表6.1.9中将橡胶垫的厚度扩大到5t锤。
Ⅲ 构造要求
6.1.10 一般锻锤的砧座垫层均由多层横放木垫组成,但在调查中发现也有不少工厂锻锤基础的砧座垫层采用木垫竖放形式,且已有几年乃至十几年的经验,其中最大锻锤吨位为5t,最小为0.5t。木垫采用竖放后,有利于采用强度较低的树种和短材。
6.1.11 砧座下基础部分的最小厚度,根据收集到的约130个锻锤基础资料分析而得。
6.1.13 本条对基础配筋的规定是根据对国内工程实践经验和大量调查研究资料的分析结合国外的资料而修订的。钢筋尺寸和型号根据近年来工程经验进行了更新。
6.2 落锤基础
Ⅰ 一般规定
本节适用于落锤车间或碎铁场地落锤破碎坑基础的设计。落锤破碎坑基础设计时,除了具备基本设计资料外,还应取得下列资料:①落锤锤头重及其最大落程;②破碎坑及砧块的平面尺寸。
6.2.1~6.2.3 落锤破碎坑基础的平面尺寸根据一次装满需破碎的废金属数量和规格而定。破碎坑基础形式,一般根据生产需要及破碎金属的数量、材质和规格、破碎坑及其砧块平面尺寸、地基土的类别和落锤冲击能量而定。
国内无厂房的简易碎铁设备(如三角破碎架),一般均不设置钢筋混凝土基础,而采用简易破碎坑基础。当碎铁设备设在厂房或露天厂房时,一般均采用钢筋混凝土破碎坑基础。
破碎坑基础的构造,例如砧块厚度和重量,填充层的材料、规格和厚度,坑壁的保护,坑壁和底板的厚度与配筋量,需根据落锤冲击能量大小确定。本规范对国内不同冲击能量的落锤破碎坑基础做了大量的调查研究,对破碎坑基础的构造作了具体的规定。
6.2.4 本条主要为了避免落锤基础在软弱地基上产生过大的静、动沉陷或倾斜,同时落锤基础下的静压力亦较大,一般在120kPa~150kPa左右,个别也有达270kPa以上,因此,在软弱地基上的落锤基础,虽然考虑了基础宽度与埋深对地基承载力的修正,一般仍不能满足要求,需要对该类地基作人工加固处理。
Ⅱ 振动计算
6.2.5、6.2.6 落锤基础振动的大小不至于严重影响锤基结构强度、稳定和正常使用,但过大振动时也可能导致落锤基础产生过大动沉陷或严重倾斜,或使破碎车间结构产生过大的附加动应力和使柱子基础产生过大的动沉陷与倾斜而影响落锤生产的正常进行。根据大量的实测和调查资料的分析给出了破碎坑基础竖向振动位移和固有圆频率的计算公式及容许振动标准。
Ⅲ 构造要求
6.2.7~6.2.9 条文的规定是总结国内各种类型破碎坑基础的设计和生产使用实践而制订的。圆筒形坑壁厚度一般是300mm~600mm,且均为双面配筋。巨型坑壁根据调查,沿坑壁内转角易产生裂缝,因此,规定了沿坑壁内转角应增设钢筋加强,同时坑壁外露部分的顶部和内侧虽有钢锭或钢坯保护,但冲击力影响较大,且即使有保护措施,也难免在损坏后不能及时修补,因此规定加强配筋的措施。
带钢性底板的槽型破碎坑基础,在长期受落锤很大冲击力作用下,基础设计需使之有足够的重量和强度,往往需耗费较多的混凝土和钢材,如处理不当,有时会使基础严重倾斜或损坏。因此,在条文中根据不同的落锤冲击能量规定了破碎坑底板的最小厚度和钢筋网层数。
当落锤的冲击能量大时,带区间的数字取较大值,当落锤的冲击能量小时,带区间的数字取较小值。
6.2.10 国内已建的圆筒形坑壁落锤基础的砧块,大多数采用整块钢板(砧块钢板采用低碳钢并经退火处理,使用效果很好),其重量可按公式(6.2.10)计算,这对防止砧块下陷有效,较用钢锭作砧块为好。矩形破碎坑基础的砧块,一般由数块钢板拼成,国内均采用满铺1层~2层大型钢锭作为砧块,因整块砧块浇筑、吊装均较困难,因此,允许用大型钢锭拼成砧块,但钢锭截面应尽量大些。
6.2.11 简易破碎坑,其砧块顶面一般与地面平或略低于地面。某些圆筒形坑壁落锤基础的砧块顶面与地面标高差不多,但大部分落锤基础为了减少被破碎的钢铁碎片飞散和便于放置需破碎的废料,砧块顶面低于坑壁顶面。根据破碎坑平面尺寸,一般情况下砧块顶面低于坑壁顶面1.0m~2.5m。同时,为了便于放置坑壁的防护钢锭而将坑壁略向外倾斜。
7 压力机基础
7.1 一般规定
压力机包括热模锻压力机、通用机械压力机、液压压力机和螺旋压力机。本章适用于公称压力不大于125000kN的热模锻压力机及公称压力不大于60000kN的通用机械压力机、液压压力机和螺旋压力机(以下简称压力机)基础的设计。近年来国内大、中型压力机和冲压设备日益增多,本章压力机基础设计方法较过去习惯方法也有较大变动(详见本标准第7.2.2条)。
压力机基础设计时,除了具备基本设计资料外,应要求压力机制造厂提供下列资料:①压力机立柱上下各部件的质量、立柱的质量及最重一套模具的质量;②压力机的质心位置、压力机绕通过其质心平行于主轴的转动惯量、主轴的高度;③压力机起动时,作用于主轴上的竖向扰力、水平向扰力和扰力矩的峰值、脉冲时间及其形式;④压力机立柱的截面、长度及其钢号,当立柱为变截面时,应分别给出各部分的截面和长度;当为装配型压力机时,尚应包括螺栓拉杆的截面、长度及其钢号;⑤压力机锻压阶段的竖向振动荷载,对螺旋压力机还应提供水平振动扭矩。
7.1.2 过去某些规定要求压力机基础自重不应小于压力机重量的1.0倍~1.2倍。但在实际工程中发现某厂一个20000kN压力机(西德奥姆科公司MP系列)的基础自重虽为压力机重量的1.43倍,但在调试时仍因振动位移过大不能满足生产要求而被迫加固。因此,将上限改为1.5倍,并将下限也略予提高。实际上基础自重与压力机起动阶段的扰力、扰力矩,以及地基情况等有密切关系,很难用一个简单的系数与压力机自重联系起来。因此,本条规定基础自重不宜小于压力机重量的1.1倍~1.5倍。
在基础自重相同的条件下,力求增大基础底面积、减少埋置深度,主要是可以减小基础振动位移(特别是水平振动位移),防止基础产生不均匀沉陷而导致机身倾斜、损坏导轨及传动机构;同时,埋置深度减小后将有利于防水,方便施工,对邻近厂房柱基埋置深度的影响也可小些。
7.1.4 由于本章计算和控制压力机基础振动位移的方法与过去习惯方法相比有较大改变,且对公称压力为12500kN~16000kN的热模锻压力机和通用机械压力机的基础尚缺乏足够的设计与使用经验,故对进行动力计算的压力机基础的范围作了更为严格的控制。
7.2 振动计算
7.2.1 以往一些设计规定对压力机基础设计均只要求计算和控制压力机完成锻压工序,滑块回升的瞬间,锻压件反作用于上下模的锻打力(最大值为公称压力)突然消火,曲轴的弹性变形及立柱的弹性伸长也随之突然消失所引起的竖向振动位移,亦即只计算和控制锻压阶段的竖向振动位移。但生产实践和科学试验证明:在压力机起动阶段,即离合器接合后,经过空滑、工作滑动及主动部分(大飞轮)与从动部分(曲轴)完全接合共同升速至稳定转速时(与此同时,滑块开始下行)的振动也很大,有时甚至大于锻压阶段。这是因为在压力机锻压工件的全过程(包括起动、下滑、锻压、回程及制动五个阶段)中,机械系统运动时产生的竖向扰力、水平扰力及扰力矩以起动阶段为最大。更值得注意的是无论起动阶段或锻压阶段,除竖向振动外还有水平振动。某些水平扰力大、作用点高、机座平面尺寸又小的压力机,其启动阶段的水平振动位移甚至远大于竖向振动位移。根据对十几台大、中型压力机基础上百条实测的振动曲线分析,在整个锻压工件的全过程中,竖向振动位移的最大值约有近2/3出现在启动阶段,1/3略多出现在锻压阶段;水平振动位移的最大值约4/5出现在启动阶段,仅1/5出现在锻压阶段,且其幅度与起动阶段相比,大得不多。因此,本条规定了压力机基础的动力计算应考虑启动阶段和锻压阶段两种情况。启动阶段应计算竖向振动位移和水平向振动位移,而锻压阶段只计算竖向振动位移即可。
7.2.2 在启动阶段,压力机机械系统在运动过程中产生竖向扰力、水平扰力及扰力矩。因此,基组除有垂直振动外,还有水平与回转耦合振动。本条先不考虑垂直扰力对基组重心的偏心,即先推导当垂直扰力通过基组重心时产生的竖向振动位移计算公式,而因偏心产生的扰力矩则在本标准第7.2.3条水平与回转耦合振动计算中一并考虑。根据理论推导及一些压力机制造厂提供的资料,启动阶段的垂直扰力、水平扰力及扰力矩的脉冲形式均接近于三角形(后峰锯齿三角形或对称三角形)。当扰力脉冲的时间及形状已知,基组即可按单自由度的“质-弹-阻”体系用杜哈米积分求解,从而导用竖向振动位移计算公式。公式中的有阻尼响应函数最大值,即有阻尼动力系数ηmax的求算十分困难,因为有阻尼响应函数η本身就是一个极为繁冗复杂的以阻尼比ξ、脉冲时间与无阻尼自振周期之比(t0/Tn)及时间t为变量的超越函数。要求其最大值,还要先求出产生最大值的时间(详见附录D)。因此只能借助计算机算出各种不同阻尼比和不同脉冲时间与无阻尼自振周期之比的ηmax值列表备查(表D.0.2-1和表D.0.2-2)。
由于许多因素,如质量中未考虑基础周围土壤,地基刚度系数取值往往会小于实际值,基础埋深和刚性地面对地基刚度的提高系数也不可能准确等,用理论计算公式算出的振幅值与实测值会有差别,要用调整系数进行修正。通过对若干个大、中型压力机基础的理论计算和实测,用数理分析方法求出两者之间的比值,并考虑一定的安全储备,即可得出调整系数为0.6。引入调整系数及得出公式(7.2.2-1)~公式(7.2.2-3)。
7.2.3 推导启动阶段水平振动位移计算公式时,由于水平扰力及扰力矩的脉冲时间和形式均相同(且与竖向扰力相同),故可用振型分解法求得运动微分方程的近似解。用同上方法得出调整系数为0.9,即可得出公式(7.2.3-3)及公式(7.2.3-4)。
7.2.4 以往计算压力机锻压阶段竖向振动位移的计算模式为双自由度“质-弹”体系(图1),立柱作为上部弹簧,刚度为K1;地基作为下部弹簧,刚度为K2。考虑调整系数为0.6,即得计算竖向振动位移的公式如下:

一般情况下,压力机立柱的刚度K1远大于地基的刚度K2(大十几倍至几十倍)。为简化计算,并使计算模式与启动阶段一致,可不考虑立柱的弹性而把整个基组当作一个刚体。于是基组的振动就变为单自由度体系的振动,扰力则来自体系内部质量m1的来回振动(图2),其值为△K1cosωnmt,
。采用同样的调整系数,即可得出竖向振动位移计算公式(7.2.4-1)。用此公式算出的竖向振动位移与按双自由度体系考虑的公式(3)相比,误差一般为1%~2%,在允许范围内。

如考虑阻尼,则基础的竖向位移Z2(t)为

式中:ζz1、ζz2——分别为立柱和地基的阻尼比;
ωd1、ωd2——分别为双自由度体系第一、第二振型的有阻尼固有圆频率。
公式(7)表明基础的竖向振动为一高频振动叠加于一低频振动上。由于ωd2远大于ωd1,故当高频振动出现第一个正峰值时,低频振动仍处于接近正峰值处,且由于钢柱的阻尼系数甚小,故此时公式(7)括号中两项的绝对值均接近于1。如各以+1带入相加,并引入调整系数0.6,公式(7)即与公式(3)相同。因此,可以允许不考虑阻尼。
7.3 构造要求
7.3.1~7.3.3 关于压力机基础混凝土标号及最小厚度和配筋的规定,主要是在调查了国内20多个大、中型压力机基础的实际情况并进行分析综合后确定的。该规定大体上与《机械工程手册》第38篇及《动力机器基础设计手册》有关规定相当。遵守该规定,一般能满足承载力、振动和耐久等要求,同时也不至于消耗过多的材料。
8 破碎机和磨机基础
8.1 破碎机基础
Ⅰ 一般规定
本节适用于旋回式、圆锥式、颚式、锤式和反击式破碎机基础的设计,其他形式的破碎机亦可参照执行。随破碎物料的材质硬度、特性不同,破碎机种类、型式较多。本次,适用范围未修改,其他型式的破碎机,根据其工作特点,可按本标准执行。
破碎机基础设计,除了具备基本设计资料外,还应取得下列资料:①破碎机与驱动电机的相互位置关系及传动方式;②碾压料的质量及位置,进、出料口位置;③破碎机扰力的作用方向及作用位置。
8.1.1 原规范的基础型式,多年来行之有效,保留不变。框架式基础的水平向刚度小,低转速破碎机易激发共振,比较适合转速较高的破碎机采用。破碎机的振动较大,软弱土层,如松散砂、易散落粉土、局部软土和不均匀地基,在破碎机振动作用下,其基础易产生倾斜沉降,不可作为天然地基,需要采取地基加固处理,有的则需要采用桩基础,应根据工程实际情况通过多方案比较确定。锚杆基础经济合理,但对基岩质量有严格要求,采用时应满足适用条件。与静力基础不同,破碎机振动较大,锚杆基础做法应规范,严格控制设计、施工质量,确保在长期振动条件下基础的整体性。隔振基础或在机器支座处采取隔振措施,是近些年来普遍采用的减小振动影响行之有效的方法,本次修订作了补充。
8.1.2 本条要求破碎机基础的设计应计算基组的总重心位置及基础底面形心位置,满足本标准第3.2.3条规定;并应控制主要扰力作用方向的基组固有频率,避免与干扰主频率产生共振。
Ⅱ 振动计算
8.1.3 本条为振动计算规定,修改了联合基础的振动位移计算。破碎机振动较大时,基础设计宜计算扰力作用下的振动位移。墙式基础的墙,侧向刚度大,尤其是顺墙方向。接近于整体基础;垂直于墙方向,通过严格控制墙的高厚比和墙高,在较低激振频率时,也可接近于整体基础。因此,可按块体式基础作振动计算。但墙高不宜过大,墙底筏板基础的质量不宜太小,限于现有依据不足,难以列入标准,设计时应予注意,逐步积累经验。联合基础的振动位移计算做了修改,改为先按单台机器计算振动位移,然后再按平方和开方法,计算多台单机同时作用时振动控制点的振动位移总值。
8.1.4 本条明确了墙式基础和框架式基础的振动控制点位置。
8.1.5 本条规定了计算基底压应力时,取相当于3倍~4倍破碎机扰力作为等效重力静荷载,对地基承载力进行折减,适当提高了破碎机基础的安全度标准。
Ⅲ 构造要求
8.1.6 本条对墙式基础的结构做出了详细规定。墙式基础的墙,双向设置最为合理,破碎机的机脚支承在墙上也受力最好,受到出料口位置限制,有的难以做到。支承破碎机的墙上顶板,往往需要开洞、留沟槽,设计需局部加强,尽量保持板的平面内刚度。有些破碎机、磨机,要求墙顶的支承位置很高,又是单向—字墙,尽管垂直于墙的方向理论上没有扰力,但由于墙太高、太柔,固有频率很低,破碎机、磨机运行时,极易激发垂直于墙方向的共振,致使振动很大,不得不停机加固。根据加强垂直于墙的方向刚度和强度要求概念,对高于3m的墙,即高度超过普通建筑一层时,要求墙端和设备支座下加扶壁柱或暗柱,设备以下空间连成整体的规定。墙很高时,设备重心位置高,墙下筏板质量也应加大,以免形成头重脚轻结构,对振动和抗震都不利。
8.1.7 本条对框架式基础的结构做出了规定,其余构造可按本标准第4.2.12条、第4.2.13条执行。框架式基础水平刚度小,水平向固有频率低,对高转速设备振动有利,但对转速低、频率低且频谱宽的破碎机十分不利。实际工程中,高而柔的框架应用较少,低而刚的框架应用较多。工程需要增加框架水平刚度,提高水平向固有频率,为避免与主频共振,可以在框架柱间加刚性支撑;难以避免与主频共振时,可以在框架柱间加阻尼支撑降低振动响应。
8.1.8 动力机器基础与建筑物基础贴近、重叠,在破碎机和磨机基础设计中很普遍,这些做法是实际工程设计中应用广泛、行之有效的,补充到标准中。破碎机、磨机基础振动对临近建筑物基础的影响,应谨慎对待。
8.2 磨机基础
本节适用于管磨机、球磨机、棒磨机及自磨机基础的设计,非常温范围或有特殊要求的磨机尚应符合相关标准的规定和设备工艺的要求。磨机应用领域广泛,不仅用于矿山、煤炭、电力、冶金部门磨硬质材料和半硬质材料,也用于粮食加工、造纸、轻工等部门磨软质材料。有的磨料有温度要求,有的需与生产线联动。因此,对于那些有特殊要求的磨机基础设计,尚应遵守相关规定及工艺要求。
磨机基础设计时,除了具备基本设计资料外,还应取得下列资料:①磨机、电机和减速机的相互位置关系及传动方式;当与辅助机械采用同一基础时,辅助机械的位置、质量及质心位置与磨机的关系;②磨料的质量及分布,进料与出料口的位置及连接方式;③磨机扰力的作用方向及作用位置;当采用卧式磨机时,筒体中心线距离机器底座支承面的高度。
Ⅰ 一般规定
8.2.1 磨机基础通常都采用大块式或墙式,本次修订,补充了联合基础、桩基础和隔振基础。联合基础对减小振动是有利的,还便于施工。
8.2.2 本条对磨机与辅助机械公用基础做出规定。低速、中速磨机转速低,以随机振动为主,很多情况下不进行振动计算,振动控制主要以概念设计为主,与辅助机械共用大基础,对减小振动有利,也便于施工。但应控制磨机偏置时,磨机下基础底的压应力不能同时也偏大,避免磨机振动造成基础朝磨机这一边倾斜。
8.2.3 基组平衡和固有频率等特征值计算,是磨机基础设计的重要组成部分。其中,计算总重心位置,使之对应在竖向总刚度中心,即基底形心同一铅垂线上的动力设计原则,无论是否需要作振动计算,都是要遵循的。基组固有频率计算,是为了避免与扰力作用方向产生共振。
Ⅱ 振动计算
8.2.4 扰力作用下的基组振动位移计算,根据设计使用经验,中、低转速磨机振动较小,频率较低,所处场所通常也无环境振动要求,一般可以不进行振动位移计算,采用控制基础与机器一定的质量比,就能满足磨机正常工作要求。
8.2.6 本条对磨机墙式基础振动控制点位置做出规定。
Ⅲ 内力计算
8.2.7 本条对磨机基础地基承载力验算做出规定。卧式磨机在旋转过程中,筒内底部磨料不断被刮起,造成对轴承的水平侧压力,该力对基底形成倾覆力矩,传递到基底的水平推力可以忽略不计,这是卧式磨机特有的、基底应力计算需要考虑的受力现象。
Ⅳ 构造要求
8.2.9 本条为磨机深基础补充构造要求,其余构造要求同本标准前面章节。当深基础厚度超过3m时,基础内部需配抗裂的构造钢筋,同时,施工时应采取措施降低水化热。
8.2.10 球(棒)磨机小齿轮支座处的混凝土受振动影响容易开裂,需按本条正文规定加强水平筋布置。
9 振动试验台基础
9.1 液压振动台基础
本节适用于单个作动器额定激振力不超过500kN,激振频率不超过100Hz的液压振动台基础的设计。液压振动台的类型非常多,激振作用也比较复杂。在调查厂常用液压振动台的类型和规格基础上,拟定了本标准振动试验台基础设计的适用范围。本节依据单个作动器的额定激振力和激振频率作为设计基础。在实际设计中需要考虑作动器的位置、作用力方向,以及台面规格和被试对象的状况来确定振动荷载作用。
液压振动台基础设计时,除了具备基本设计资料外,尚应取得下列资料:①作动器的规格型号;②作动器的最大激振力、最大振动加速度、最大振动速度、最大振动位移和激振频率范围;③设备、运动部件和被试对象总质量,对于带减振悬架的被试对象,需分别提供减振悬架上下两部分的质量,以及减振悬架的动力参数;④对于多轴向振动试验台应取得作动器布置、作动器数量、作用方向、作用点高度等资料;⑤对于车辆道路模拟试验机应取得作动器数量、平面布置、轮距和轴距范围等资料。
Ⅰ 动力计算
9.1.1 液压振动台的主要目的是给被试件提供有效的作用力。因此振动台的主要技术指标包括激振力、振动位移、振动速度和振动加速度等。液压振动台是一种开敞式加载的装置,激振力表现为惯性力,当被试件质量确定后,激振力就与加速度成正比。由于受振动台作动器结构特性的制约,试验台在整个试验频率区间的激振力并不相等。在低频区段受到试验台作动器活塞行程和液压油流速的限制,运动加速度达不到最大值。可见在低频段振动台激振力大小由位移决定,中频段激振力大小由速度决定,高频部分激振力则由加速度决定。此外,振动荷载还需要被试对象的质量和动力特性等因素。
对于质量较大且动力特性复杂的被试对象,试验过程中试件容易发生共振现象,振动荷载应计入相应的动力放大系数。
9.1.2 液压振动台基础的基组振动模式采用质点(刚体)-弹簧-阻尼体系,振动系统可分为竖向、横摆、俯仰和水平耦合、侧倾和水平耦合四种形式,当俯仰、侧倾和水平振动耦合时,可以按照平面刚体运动计算。
基础动力计算时,坐标轴按照基础竖向为z轴,沿基础长轴方向为纵向x轴,沿基础短轴方向为横向y轴;基组坐标系中的原点取基组重心。
为了便于计算,液压振动台的振动计算可以按照三种类型(即四个模型)进行。对于更复杂的液压振动台的基组动力问题,可以考虑振动荷载效应的组合来计算。
1 对于竖向激振力作用在基础重心上,基础产生竖向振动的情形,可以简化为单质点振动模型。
2 对于扭转力矩作用于基础竖向z轴上,基础产生水平横摆振动的情形,可以简化为刚体水平扭转振动单自由度模型。
3 对于竖向偏心激振力和水平激振力同时作用在基础上,基础产生俯仰、侧倾和平动的耦合振动,可以简化为平面刚体运动两自由度模型。
俯仰振动是指基础绕水平y轴的回转振动,侧倾振动是指基础绕水平x轴的回转振动,横摆振动是基础绕竖向z轴的回转振动。
9.1.3 基组受到通过其重心的竖向扰力作用下产生竖向振动,通过建立运动微分方程求得基础重心处竖向振动位移uz(基组各点的竖向线位移均相同)的计算公式。
9.1.4 扭转振动是在扭转力矩作用下产生的。基础顶面控制点一般指基础角点,此点水平扭转的线位移最大,表示为x、y向两分量。通过建立微分方程求解基础顶面控制点x、y向线位移的计算公式。
9.1.5、9.1.6 在竖向偏心扰力和水平扰力作用下,引起基础俯仰和平动耦合振动,或引起基础侧倾和平动耦合振动。按照x-z平面和y-z平面分别计算两自由度平面刚体体系的水平回转耦合振动。可以采用振型叠加方法,第一振动为绕转心O1回转,第二振型为绕转心O2回转,通过建立运动微分方程求得水平回转耦合第一和第二振型固有圆频率ωnф1、ωnф2(或ωnθ1、ωnθ2)和回转半径ρф1、ρф2(或ρθ1、ρθ2)和基础顶面控制点的竖向、水平向线位移的计算公式。
9.1.7 在计算水平回转振动所引起的竖向振动线位移时,并未考虑因偏心竖向扰力平移至基组总重心而产生的基组在通过其重心的竖向扰力作用下产生的竖向振动线位移,因此,当计算在水平力和竖向扰力偏心作用下基础顶面控制点的竖向振动线位移时,应将计算所得的基组在通过其重心的竖向扰力作用下的竖向振动线位移与计算所得的由水平力和竖向扰力偏心作用下产生的基础顶面控制点的竖向振动线位移相叠加。
Ⅱ 构造要求
9.1.8 液压振动台基础设计的构造要求应满足现行国家标准《混凝土结构设计规范》GB 50010、《建筑地基基础设计规范》GB 50007等的规定。
考虑到振动试验台的振动冲击作用,混凝土强度等级建议不低于C30,受力钢筋应采用HRB400、HRB500、HRBF400和HRBF500。在设备底座与基础连接部位通常设有二次浇灌层,为了确保连接处结合牢固,通常采用比基础混凝土高一等级的微膨胀细石混凝土,也可以采用专门的灌浆料浇筑。
块状基础多为大体积混凝土基础,为了防止水化热和温度收缩等问题,基础中部应配置三向分布筋,中央分布筋间距不宜大于500mm,钢筋直径不宜小于14mm。基础周边,内侧或外侧钢筋直径不宜小于14mm,间距不宜大于200mm。为了防止混凝土收缩开裂,建议外侧钢筋间距不宜大于150mm。
块状实体基础在确保最小厚度要求的同时,应尽量做成扁平形式,有利于提高基础的动力特性,减小基础振动响应。
9.1.9 基础作为振动试验台的支承结构,需要具备一定的质量和刚度条件。根据工程实践和设备厂商的建议,液压振动台基础重力不应小于激振力的10倍。对于有力矩或水平激振力作用的多方向、多自由度激振振动试验台,例如地震试验台和MAST振动台等,基础重量不应小于最大总激振力的15倍。
9.2 电动振动台基础
本节适用于单个作动器额定激振力不超过200kN,激振频率在5Hz~2000Hz,自带隔振装置的电动振动台基础的设计。本节主要是针对常用电动振动台基础设计所做的规定。常用电动振动台激振器的额定激振力不超过200kN,激振频率不超过2000Hz。电动振动台的主要目的是给被试件提供有效的振动作用力,因此,电动振动台的主要技术指标包括激振力、振动位移、振动速度和振动加速度等。对于电动振动台,当试件质量确定后,激振力就与加速度成正比。
电动振动台基础设计时,除了具备基本设计资料外,尚应取得下列资料:①振动台规格型号;②振动台的额定激振力、额定振动加速度、额定振动速度、额定行程等参数;③振动台重心至基础顶面的距离、激振力作用方向和作用点位置;④试验台隔振器的参数;⑤振动台设备质量和运动部件质量等;⑥振动台额定负载和被试对象最大质量等。
Ⅰ 动力计算
9.2.1 电动振动台通常为单个激振器作用的试验装置,其基组振动模式与液压振动台相似,可以采用质点(刚体)-弹簧-阻尼体系模型。振动系统可分为竖向激振作用于重心、竖向激振作用于(单轴)偏心、水平激振作用三种形式。当水平与平面回转振动耦合时,可以按照平面刚体运动计算。
基础动力计算时,坐标轴按照基础竖向为z轴;沿基础长轴方向为纵向x轴;沿基础短轴方向为横向y轴;基组坐标系中的原点取基组总重心。
9.2.2 竖向激振力作用于基础重心上引起基础竖向振动,可以按照单质点振动模型建立运动微分方程,计算基组重心处竖向线位移uz。此时,基础各点的竖向线位移均相同,可按液压振动台基础动力计算公式计算。
9.2.3 在竖向偏心扰力作用下,基础产生俯仰和平动耦合振动,该耦合振动为双自由度平面刚体振动体系,可按照振型叠加方法分析。这里激振力矩与液压振动台有所不同,基础动力计算公式与液压振动台基础相同。
9.2.4 在沿基础长轴方向水平激振力作用下,基础产生侧倾和平动耦合振动,该耦合振动为双自由度平面刚体振动体系,可按照振型叠加方法分析。这里激振力矩与液压振动台有所不同,基础动力计算公式与液压振动台基础相同。
Ⅱ 构造要求
9.2.5、9.2.6 电动振动台基础构造要求可以按照液压振动台基础的做法。常规电动振动台都自带隔振装置,因此,一些基础设计的构造要求比液压振动台适当放宽。
10 金属切削机床基础
本章适用于金属切削机床和加工中心系列机床基础的设计。金属切削机床的分类方法较多,一般分为普通机床、精密杉L床和高精度机床;按工件大小和机床自重又可分为中小型机床、大型机床、重型机床和超重型机床。本标准仅考虑用于普通或精密的重型及重型以下金属切削机床基础的设计。同时,考虑到近年来随着新工艺、新材料的使用,加工中心得到了较快发展,本标准也可用于加工中心系列机床的基础设计。
金属切削机床基础设计时,除了具备基本设计资料外,当基础倾斜和变形对机床加工精度有影响或需要计算基础配筋时,应取得机床及加工件重力的分布情况、机床移动部件或移动加工件的重力及其移动范围等资料,以方便为满足机床的加工精度要求而对机床基础进行详细的分析计算。
10.0.2 机床基础的设计本着既要满足加工工艺要求,又经济适用的原则,对于加工精度要求不高的一般中小型机床,直接安装在混凝土地面上就能满足要求的,可直接采用混凝土地面作为基础;经计算,混凝土地面局部加厚就可满足要求的,就采用加厚地面混凝土厚度的办法;对于重型机床、精密机床和复杂的加工中心以及采用加厚地面混凝土厚度也不能满足要求的,则采用单独基础或桩筏基础等基础形式。
采用机床调整垫或楔形调整垫是一种简便的机床安装方法,也易于工艺变更时机床的布局调整。
10.0.3 经对金属切削机床基础资料的对比分析和现场调研了解,原规范关于基础混凝土厚度的取值经济合理,本次修订未做改动,仍采用原规范数值。
10.0.6 经对多家机床厂的调研了解,机床基础建造在软弱地基上时,采用地基预压的方法经济有效,同时,根据调研反馈的情况,将原规范条文中预压加固机床重量标准由500kN调整为300kN。
10.0.7 为减少振动对加工的影响,在工艺设备布置时,精密机床应尽量远离振动荷载较大的机床。大型、重型机床工作时振动较大,为防止对建筑物造成不利影响,机床基础应与厂房柱基础脱开,同时,为防止对精密机床的加工造成影响,精密机床基础也要与厂房柱基础脱开。